Tweetovi
- Tweetovi, trenutna stranica.
- Tweetovi i odgovori
- Medijski sadržaj
Blokirali ste korisnika/cu @zimmeee
Jeste li sigurni da želite vidjeti te tweetove? Time nećete deblokirati korisnika/cu @zimmeee
-
Prikvačeni tweet
We built a simulation model for N-of-1 studies. Use it to see how study parameters, like sampling interval and treatment ordering, affect statistical power Code
: https://github.com/HD2i/n1-simulator …
Webapp
:
http://n1sim.hd2i.org/
@blpercha@jdudley@immadbananas@EdBaskervillehttps://twitter.com/jmirpub/status/1112722301353521152 …
Hvala. Twitter će to iskoristiti za poboljšanje vaše vremenske crte. PoništiPoništi -
Guy Causes Google Maps “Traffic Jams” By Carrying 99 Cell Phoneshttps://futurism.com/guy-causes-google-maps-traffic-jams-99-cell-phones …
Hvala. Twitter će to iskoristiti za poboljšanje vaše vremenske crte. PoništiPoništi -
Hvala. Twitter će to iskoristiti za poboljšanje vaše vremenske crte. PoništiPoništi
-
Noah Zimmerman proslijedio/la je Tweet
In a opinion essay I wrote with
@zakkohane we ask Epic to stop its aggressive campaign opposing interoperability and to not block patients' rights to computable copies of their health data.https://www.statnews.com/2020/01/27/epic-block-proposed-data-rule/ …Hvala. Twitter će to iskoristiti za poboljšanje vaše vremenske crte. PoništiPoništi -
Electronic Health Records Vendor to Pay $145 Million to Resolve Criminal and Civil Investigations | Yikes
https://www.justice.gov/opa/pr/electronic-health-records-vendor-pay-145-million-resolve-criminal-and-civil-investigations-0 …Hvala. Twitter će to iskoristiti za poboljšanje vaše vremenske crte. PoništiPoništi -
Noah Zimmerman proslijedio/la je Tweet
Within a month of the discovery of the Wuhan coronavirus, the
@CDCgov has generated an assay for the virus and made the protocol publicly available to the world. This is an outstanding example of the importance of publicly funded scientific infrastructure! https://www.cdc.gov/coronavirus/2019-nCoV/summary.html#risk-assessment …Prikaži ovu nitHvala. Twitter će to iskoristiti za poboljšanje vaše vremenske crte. PoništiPoništi -
Noah Zimmerman proslijedio/la je Tweet
After a year of dev, I am *extremely* excited to share this step-by-step
#notebook tutorial Goal: to be the *easiest* intro to#privacy preserving,#decentralized Deep Learning It's in@PyTorch I hope you enjoy it#GDPR#100DaysOfMLCode#100DaysOfCode https://github.com/OpenMined/PySyft/tree/master/examples/tutorials …pic.twitter.com/8XypqZ1TDS
Hvala. Twitter će to iskoristiti za poboljšanje vaše vremenske crte. PoništiPoništi -
Noah Zimmerman proslijedio/la je Tweet
I feel like Twitter being used for this notification is somehow like the USPS delivering mail to Santa in “Miracle in 34th St” and thereby granting legal recognition of his status. So Twitter is officially the legislative debate floor of Congress now.https://twitter.com/realDonaldTrump/status/1213919480574812160 …
Hvala. Twitter će to iskoristiti za poboljšanje vaše vremenske crte. PoništiPoništi -
Hvala. Twitter će to iskoristiti za poboljšanje vaše vremenske crte. PoništiPoništi
-
Noah Zimmerman proslijedio/la je Tweet
Earlier this month, I went to
#ML4H2019 at NeurIPS. The talks were recorded, which is amazing. But I know you aren't going to watch 6 hours of video. Maybe you'll read 40 minutes of summary, though!#MachineLearning#healthcarehttps://willieboag.wordpress.com/2019/12/27/ml4h-2019-machine-learning-for-health/ …Hvala. Twitter će to iskoristiti za poboljšanje vaše vremenske crte. PoništiPoništi -
Noah Zimmerman proslijedio/la je Tweet
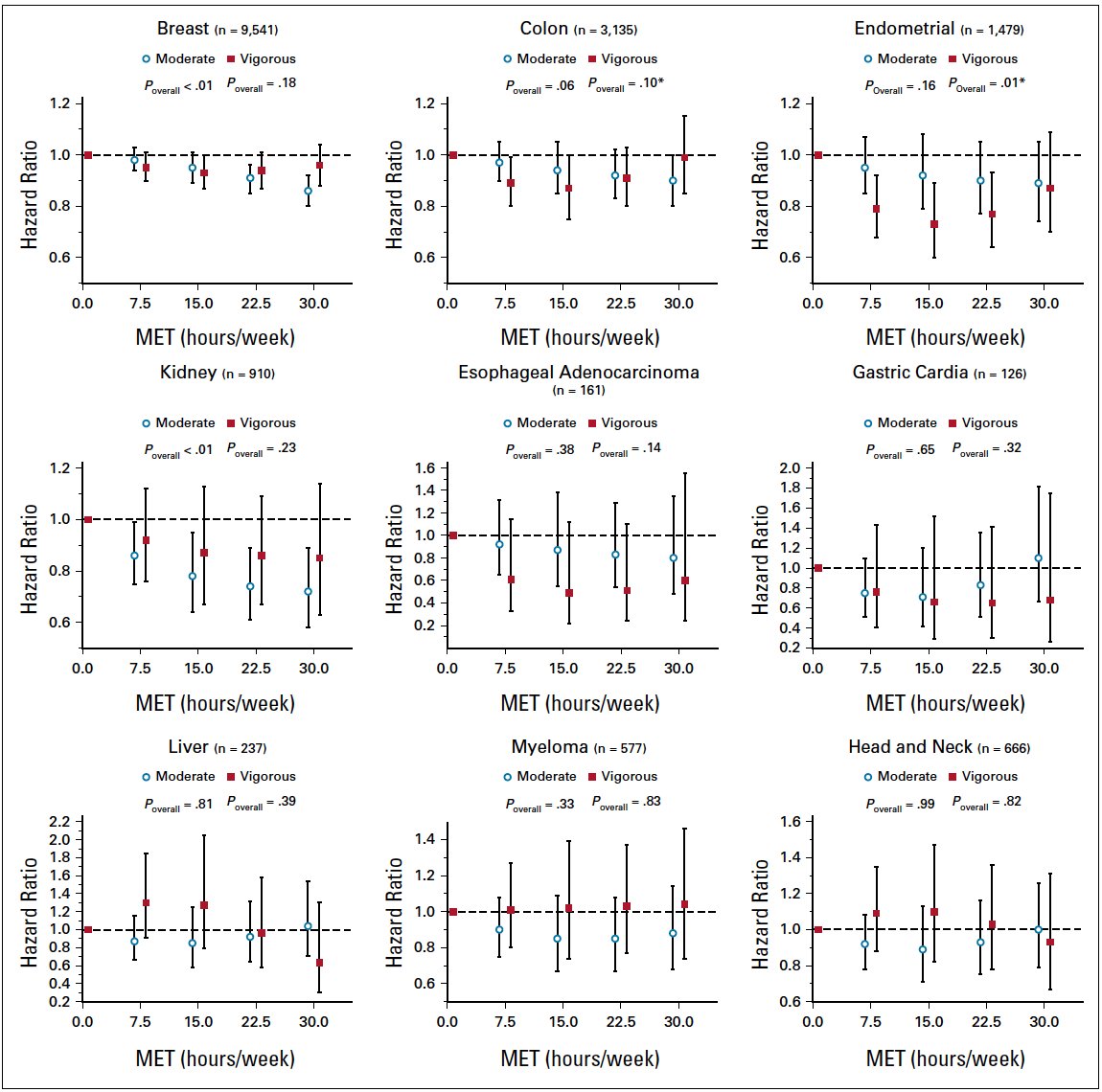
Exercise (leisure time physical activity) and its intensity are associated with a lower incidence of many types of
#cancer, from 9 cohorts, > 750,000 people https://ascopubs.org/doi/pdf/10.1200/JCO.19.02407 …@ASCO#openaccess by@theNCI's Charles Matthews and colleaguespic.twitter.com/u91xolRuWO
Hvala. Twitter će to iskoristiti za poboljšanje vaše vremenske crte. PoništiPoništi -
Hoping you and your families reach consensus this holiday season! Remember: everyone doesn’t always have to agree
https://twitter.com/nickandnoah/status/1209533237564829696 …
Hvala. Twitter će to iskoristiti za poboljšanje vaše vremenske crte. PoništiPoništi -
Had me at using as few labels as possible to achieve SoA performance
https://twitter.com/syeung10/status/1209313442646986753 …Hvala. Twitter će to iskoristiti za poboljšanje vaše vremenske crte. PoništiPoništi -
Noah Zimmerman proslijedio/la je Tweet
This is an unfortunate disservice to the thousands of people whose public health minded comments and replies on those tweets are now deleted, consumers and reporters who used the once accessible archive, and precedent that always preserved archived accounts of Federal officials.https://twitter.com/FDAMedia/status/1209202492719927299 …
Hvala. Twitter će to iskoristiti za poboljšanje vaše vremenske crte. PoništiPoništi -
Noah Zimmerman proslijedio/la je Tweet
Congratulations to doctoral student Camille Schrier, aka
@MissAmericaVA, for winning#MissAmerica
, but MORE IMPORTANTLY for promoting #DrugSafety! Hey Camille, wanna do a post doc on drug-drug interactions??pic.twitter.com/shPlqK4r1A
Hvala. Twitter će to iskoristiti za poboljšanje vaše vremenske crte. PoništiPoništi -
Noah Zimmerman proslijedio/la je Tweet
New blog post alert!


On Monday we submitted feedback to lawmakers on their vision for Cures 2.0
Learn about DiMe’s ideas on this new legislation and check in for a summary of other projects we are working on in this quick update from @goldsackjenhttp://bit.ly/34DgvapHvala. Twitter će to iskoristiti za poboljšanje vaše vremenske crte. PoništiPoništi -
Noah Zimmerman proslijedio/la je TweetHvala. Twitter će to iskoristiti za poboljšanje vaše vremenske crte. PoništiPoništi
-
This congressman just said that Democrats are “really lowering the bar on impeachment” and I didn’t realize it could get much lower than blowjobs
#ImpeachmentHearingspic.twitter.com/iGJLUNwUKO
Hvala. Twitter će to iskoristiti za poboljšanje vaše vremenske crte. PoništiPoništi -
Noah Zimmerman proslijedio/la je Tweet
It look like 2020 me year to shine!!!!https://twitter.com/pantone/status/1202387789670735873 …
Hvala. Twitter će to iskoristiti za poboljšanje vaše vremenske crte. PoništiPoništi -
The “Harbinger Customers” Who Buy Unpopular Products & Back Losing Politicianshttps://kottke.org/19/12/the-harbinger-customers-who-buy-unpopular-products-back-losing-politicians …
Hvala. Twitter će to iskoristiti za poboljšanje vaše vremenske crte. PoništiPoništi -
Noah Zimmerman proslijedio/la je Tweet
Want to analyze EHR of millions of patients from international hospitals to forward precision medicine? New post-doc position to work on
@Smart4HealthEU initiative at@HPI_health! https://bit.ly/38ArPaO Looking for those with biostats, epi, ML,#OMOP expertise Please R/T! 1/2pic.twitter.com/XpuW6gzU77
Prikaži ovu nitHvala. Twitter će to iskoristiti za poboljšanje vaše vremenske crte. PoništiPoništi
Čini se da učitavanje traje već neko vrijeme.
Twitter je možda preopterećen ili ima kratkotrajnih poteškoća u radu. Pokušajte ponovno ili potražite dodatne informacije u odjeljku Status Twittera.
