Tweetovi
- Tweetovi, trenutna stranica.
- Tweetovi i odgovori
- Medijski sadržaj
Blokirali ste korisnika/cu @vanderwindt
Jeste li sigurni da želite vidjeti te tweetove? Time nećete deblokirati korisnika/cu @vanderwindt
-
Peter van der Windt proslijedio/la je Tweet
Detailed information from a targeted 1,120 villages in Eastern
#Congo now publicly available: almost 1,000 village chiefs, and more than 4,500 households, 700 hospitals and 800 schools. Collected in 2015. Link contains all data and instruments: https://tinyurl.com/w9sxf3n (1/2)Prikaži ovu nitHvala. Twitter će to iskoristiti za poboljšanje vaše vremenske crte. PoništiPoništi -
Bonus: Data from the same villages were also collected in 2010: https://tinyurl.com/rzajzsm .
@impacteval@wb_research@NYUAD_SocialSci@NYUADResearch (2/2)Prikaži ovu nitHvala. Twitter će to iskoristiti za poboljšanje vaše vremenske crte. PoništiPoništi -
Detailed information from a targeted 1,120 villages in Eastern
#Congo now publicly available: almost 1,000 village chiefs, and more than 4,500 households, 700 hospitals and 800 schools. Collected in 2015. Link contains all data and instruments: https://tinyurl.com/w9sxf3n (1/2)Prikaži ovu nitHvala. Twitter će to iskoristiti za poboljšanje vaše vremenske crte. PoništiPoništi -
Peter van der Windt proslijedio/la je Tweet
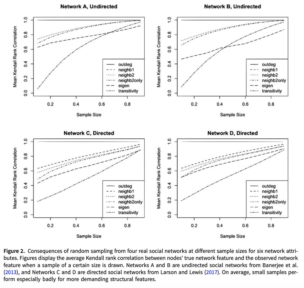
Volume 8 | Issue 1 – How to study networks in political science? J.Larson &
@janetilewis offer a practical guide for designing a study to elicit networks and illuminates the tradeoffs that researchers face. Enjoy#FreeAccess until the end of Feb 2020: https://doi.org/10.1017/psrm.2019.5 …pic.twitter.com/D4b5ism06n
Hvala. Twitter će to iskoristiti za poboljšanje vaše vremenske crte. PoništiPoništi -
Peter van der Windt proslijedio/la je Tweet
Now available on
#APSR First View: my paper with@BlavatnikSchool's@jblabonne &@NYUpolitics's@pquerubo on social network structures and public goods provision, using data from 15,000+ Philippines
villages. Thanks to @ingorohlfing & the#APSR team! https://www.cambridge.org/core/journals/american-political-science-review/article/social-network-structures-and-the-politics-of-public-goods-provision-evidence-from-the-philippines/09A7A75F7EC80582186833388D1BB39A …pic.twitter.com/BM5iUabPJj
Hvala. Twitter će to iskoristiti za poboljšanje vaše vremenske crte. PoništiPoništi -
New study: Traditional leaders played a key role in combatting the 2014-2015 Ebola epidemic in Sierra Leone. Chiefdoms with more powerful Paramount Chiefs experienced fewer Ebola cases. With M. Voors. Forthcoming
@The_JOP. Link: https://osf.io/preprints/socarxiv/jaqr2/ ….@NYUAD_SocialSci@WURHvala. Twitter će to iskoristiti za poboljšanje vaše vremenske crte. PoništiPoništi -
Peter van der Windt proslijedio/la je Tweet
Check out
@joan_barcelo_ 's latest project in the@PSRMJournal where he shows new evidence on endogenous democratization.@NYUADResearch@NYUAbuDhabihttps://twitter.com/PSRMJournal/status/1219387651134017541 …
Hvala. Twitter će to iskoristiti za poboljšanje vaše vremenske crte. PoništiPoništi -
Peter van der Windt proslijedio/la je Tweet
Are you an African scholar interested in learning how to incorporate experimental research methods into your work on governance, politics, or institutions? If so, make sure to apply for the upcoming
#EGAPLearningDays in Addis Ababa from Mar 30-Apr 3. http://bit.ly/2sKf1hvHvala. Twitter će to iskoristiti za poboljšanje vaše vremenske crte. PoništiPoništi -
Peter van der Windt proslijedio/la je Tweet
LSE is hosting the 2020 UK Working Group on African Political Economy on 19-20 March. A great opportunity for feedback on ongoing projects and research designs for those in the UK or Africa. Deadline 20 Jan.
@AfricaAtLSEhttps://twitter.com/Sarah_Brierley1/status/1213005805865361408 …Prikaži ovu nitHvala. Twitter će to iskoristiti za poboljšanje vaše vremenske crte. PoništiPoništi -
Peter van der Windt proslijedio/la je Tweet
Is your New Year's resolution to learn more about experimental research methods? If so check out the upcoming
#EGAPLearningDays workshop in Addis Ababa. African scholars are encouraged to apply to join us there from 30 Mar-3 Apr. http://bit.ly/2sKf1hvHvala. Twitter će to iskoristiti za poboljšanje vaše vremenske crte. PoništiPoništi -
Peter van der Windt proslijedio/la je Tweet
Good news on a festive Friday--the application for our
#EGAPLearningDays workshop in Addis Ababa is now open! It will run from Mar 30-Apr 3, 2020. If you are an Africa-based PI who studies governance, institutions, & politics, learn more & apply by Jan 20 https://bit.ly/2sKf1hvHvala. Twitter će to iskoristiti za poboljšanje vaše vremenske crte. PoništiPoništi -
Peter van der Windt proslijedio/la je Tweet
Hiring for a PhD position in development economics in
@RWI_Leibniz_en's Berlin office. Support for your research, exciting group projects in Africa, competitive pay. Also for post-comps PhD candidates who can relocate to Berlin! http://www.rwi-essen.de/media/content/pages/about/phd_position_in_development_economics_at_rwis_berlin_office.pdf …Hvala. Twitter će to iskoristiti za poboljšanje vaše vremenske crte. PoništiPoništi -
Peter van der Windt proslijedio/la je Tweet
Please share widely! new post doc position in Berlin. Come work with me and the institutions and political inequality group at
@WZB_Berlin Details here: https://www.wzb.eu/en/jobs/postdoctoral-research-fellow-fmx-1 … Note fairly short deadline; we start reviewing on 17th Dec!Hvala. Twitter će to iskoristiti za poboljšanje vaše vremenske crte. PoništiPoništi -
Peter van der Windt proslijedio/la je Tweet
Dear twitter friends -- let's see how this goes:
@LeahRosenzweig,@yangyang_zhou and I are looking for 2 more papers for an EPSA (Prague, June 18-20) panel on migration/migrant integration/cooperation from/in the Global South. Please contact me if interested. Deadline *tomorrow*!Hvala. Twitter će to iskoristiti za poboljšanje vaše vremenske crte. PoništiPoništi -
Peter van der Windt proslijedio/la je Tweet
Reminder: Applications are currently open for the inaugural
#EGAPVisitingFellowship. Sub-Saharan African researchers interested in coming to@UCBerkeley in Fall 2020 or Spring 2021 are encouraged to learn more and apply here: http://egap.org/content/request-applications-egap-visiting-fellowship …Hvala. Twitter će to iskoristiti za poboljšanje vaše vremenske crte. PoništiPoništi -
Peter van der Windt proslijedio/la je Tweet
Today, I launched the Ideas of India database, which indexes the contents of 255 English-language periodicals that Indian intellectuals, scholars, and statesmen published between 1837-1947.https://scroll.in/article/944398/rediscovering-indian-thought-how-a-scholar-built-a-database-of-pre-independence-magazines?fbclid=IwAR1TAaiPleZZHClmS3P-e3d8GOBu-rlcd0xDykZG-hv4_jcEyVw5GzvTbHY …
Prikaži ovu nitHvala. Twitter će to iskoristiti za poboljšanje vaše vremenske crte. PoništiPoništi -
Peter van der Windt proslijedio/la je Tweet
Come work with me and
@miweintraub83 on a field experiment with the military in#Colombia https://www.poverty-action.org/job/research-associate-colombia-2 … We’re evaluating a program to reduce homicides & other violent crimes in CaliHvala. Twitter će to iskoristiti za poboljšanje vaše vremenske crte. PoništiPoništi -
Peter van der Windt proslijedio/la je Tweet
great conference alert
-- consider submitting your paper to ESOC's annual conference (this year @Stanford). I am on the conference selection committee, so pls feel free to DM me if you have any question.https://twitter.com/ESoConflict/status/1196958548929974274 …Hvala. Twitter će to iskoristiti za poboljšanje vaše vremenske crte. PoništiPoništi -
Peter van der Windt proslijedio/la je Tweet
Calling all scholars based at sub-Saharan African academic/research institutions: we are now accepting applications for our inaugural
@UCBerkeley Visiting Fellowship for Fall 2020 & Spring 2021 semesters! Check out requirements & apply by 10 Feb 2020: http://egap.org/content/request-applications-egap-visiting-fellowship …Prikaži ovu nitHvala. Twitter će to iskoristiti za poboljšanje vaše vremenske crte. PoništiPoništi -
Shout out to our study at 4:30. We conducted an RCT in Congo to learn about the impact of humanitarian aid: vouchers for essential household items improved mental health among IDPs and hosts. Study: https://tinyurl.com/rv9hsas
@UNICEFInnocenti@3ieNews@IDMC_Genevahttps://twitter.com/3ieNews/status/1194865374623256576 …Hvala. Twitter će to iskoristiti za poboljšanje vaše vremenske crte. PoništiPoništi
Čini se da učitavanje traje već neko vrijeme.
Twitter je možda preopterećen ili ima kratkotrajnih poteškoća u radu. Pokušajte ponovno ili potražite dodatne informacije u odjeljku Status Twittera.

CALL FOR PAPERS


million people will be in urgent need of
Watch our How-To video on using innovative methods for humanitarian evaluations