টুইট
- টুইট, বর্তমান পৃষ্ঠা।
- টুইট এবং উত্তর
- মিডিয়া
আপনি @therealquantran-কে ব্লক করেছেন
আপনি কি এই টুইটগুলি দেখতে চাওয়ার বিষয়ে নিশ্চিত? টুইটগুলি দেখা হলে @therealquantran অবরোধ মুক্ত হবে না।
-
Quan Tran পুনঃ টুইট করেছেন
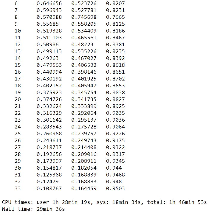
Playing around with cutout (https://arxiv.org/pdf/1708.04552.pdf …), which, mixed with a bit of super-convergence, gets us to training cifar10 to 95% accuracy in just short of 30 minutes on a single GPU.pic.twitter.com/Rb2Sr0cmL0
ধন্যবাদ। আপনার সময়রেখাকে আরো ভালো করে তুলতে টুইটার এটিকে ব্যবহার করবে। পূর্বাবস্থায়পূর্বাবস্থায় -
Quan Tran পুনঃ টুইট করেছেন
Transfer learning with language models is getting hot!
New state-of-the-art results today by two different research groups: Trinh and Le (Google) on the Winograd challenge and Radford et al. (OpenAI) on a diverse range of tasks.
https://arxiv.org/abs/1806.02847 https://blog.openai.com/language-unsupervised/ …ধন্যবাদ। আপনার সময়রেখাকে আরো ভালো করে তুলতে টুইটার এটিকে ব্যবহার করবে। পূর্বাবস্থায়পূর্বাবস্থায় -
Quan Tran পুনঃ টুইট করেছেন
Here's a minimal PyTorch/fastai Serverless API (w/ AWS Lambda) example - could be a useful starting point for your web apps!https://github.com/alecrubin/pytorch-serverless/ …
ধন্যবাদ। আপনার সময়রেখাকে আরো ভালো করে তুলতে টুইটার এটিকে ব্যবহার করবে। পূর্বাবস্থায়পূর্বাবস্থায় -
Quan Tran পুনঃ টুইট করেছেন
This is a super useful paper that we need more of: Better ImageNet models are not necessarily better feature extractors (ResNet is best); but for fine-tuning, ImageNet performance is strongly correlated with downstream performance. https://arxiv.org/abs/1805.08974
এই থ্রেডটি দেখানধন্যবাদ। আপনার সময়রেখাকে আরো ভালো করে তুলতে টুইটার এটিকে ব্যবহার করবে। পূর্বাবস্থায়পূর্বাবস্থায় -
Quan Tran পুনঃ টুইট করেছেন
Fantastic work from
@fastdotai student@er214 showing how to create a spelling checker based on word vectors. Includes link to full jupyter notebook code walk-thru. https://medium.com/@erushton214/a-simple-spell-checker-built-from-word-vectors-9f28452b6f26 …pic.twitter.com/r8V7OdFQCP
ধন্যবাদ। আপনার সময়রেখাকে আরো ভালো করে তুলতে টুইটার এটিকে ব্যবহার করবে। পূর্বাবস্থায়পূর্বাবস্থায় -
Quan Tran পুনঃ টুইট করেছেন
Interested in running experiments on CIFAR10? Would like to benchmark your DL box? Let me please share a docker setup that can be useful for both. https://github.com/radekosmulski/cifar10_docker … You can find some reference times here:https://twitter.com/radekosmulski/status/997349050247729152 …
এই থ্রেডটি দেখানধন্যবাদ। আপনার সময়রেখাকে আরো ভালো করে তুলতে টুইটার এটিকে ব্যবহার করবে। পূর্বাবস্থায়পূর্বাবস্থায় -
Quan Tran পুনঃ টুইট করেছেন
Deep AutoEncoders for Collaborative Filteringhttps://github.com/NVIDIA/DeepRecommender/blob/master/README.md …
ধন্যবাদ। আপনার সময়রেখাকে আরো ভালো করে তুলতে টুইটার এটিকে ব্যবহার করবে। পূর্বাবস্থায়পূর্বাবস্থায় -
Quan Tran পুনঃ টুইট করেছেন
Finished my implementation of the Deep Painterly Harmonization paper. Blog post is here: https://sgugger.github.io/deep-painterly-harmonization.html#deep-painterly-harmonization … And notebook there: https://github.com/sgugger/Deep-Learning/blob/master/DeepPainterlyHarmonization.ipynb …pic.twitter.com/5rSlwYFsQT
ধন্যবাদ। আপনার সময়রেখাকে আরো ভালো করে তুলতে টুইটার এটিকে ব্যবহার করবে। পূর্বাবস্থায়পূর্বাবস্থায় -
Quan Tran পুনঃ টুইট করেছেন
Wow I just found out that
@hiromi_suenaga has prepared a fantastic set of notes on all the new@fastdotai lessons! Thanks :) https://medium.com/@hiromi_suenaga/deep-learning-2-part-2-lesson-8-5ae195c49493 … I'm sure a lot of people will find these helpful.ধন্যবাদ। আপনার সময়রেখাকে আরো ভালো করে তুলতে টুইটার এটিকে ব্যবহার করবে। পূর্বাবস্থায়পূর্বাবস্থায় -
Quan Tran পুনঃ টুইট করেছেন
TIL about Clouderizer, which (amongst other things) allows you to more easily study
@fastdotai lessons with free GPU access thru Google Colabhttps://medium.com/@prakash_31206/fastest-way-to-setup-fast-ai-course-notebooks-for-free-using-google-colab-gpu-and-clouderizer-c8a004e1d50d …ধন্যবাদ। আপনার সময়রেখাকে আরো ভালো করে তুলতে টুইটার এটিকে ব্যবহার করবে। পূর্বাবস্থায়পূর্বাবস্থায় -
Quan Tran পুনঃ টুইট করেছেন
If you're using fastai and want to completely customize your training, you might be interested by this notebook that explains how to take advantage of the callbacks system the library provides.https://github.com/sgugger/Deep-Learning/blob/master/Using%20the%20callback%20system%20in%20fastai.ipynb …
ধন্যবাদ। আপনার সময়রেখাকে আরো ভালো করে তুলতে টুইটার এটিকে ব্যবহার করবে। পূর্বাবস্থায়পূর্বাবস্থায় -
Quan Tran পুনঃ টুইট করেছেন
Learners are made, not born. Here are 3 ways to build learning skills: - Organize your goals. Clear aims beat vague aspirations. - Think about thinking. Metacognition is a killer app. - Reflect on your learning. Seek cognitive quiet. https://hbr.org/2018/05/learning-is-a-learned-behavior-heres-how-to-get-better-at-it … (via
@ulrichboser )ধন্যবাদ। আপনার সময়রেখাকে আরো ভালো করে তুলতে টুইটার এটিকে ব্যবহার করবে। পূর্বাবস্থায়পূর্বাবস্থায় -
Quan Tran পুনঃ টুইট করেছেন
30+ Best Practices - from our Deep Learning Course Part 1 Forumshttp://forums.fast.ai/t/30-best-practices/12344 …
ধন্যবাদ। আপনার সময়রেখাকে আরো ভালো করে তুলতে টুইটার এটিকে ব্যবহার করবে। পূর্বাবস্থায়পূর্বাবস্থায় -
Quan Tran পুনঃ টুইট করেছেন
These wonderful notes from
@AdrienLE are possibly even better than the book itself
https://towardsdatascience.com/deep-learning-book-notes-chapter-3-part-1-introduction-to-probability-49d13c997f2a …ধন্যবাদ। আপনার সময়রেখাকে আরো ভালো করে তুলতে টুইটার এটিকে ব্যবহার করবে। পূর্বাবস্থায়পূর্বাবস্থায় -
Quan Tran পুনঃ টুইট করেছেন
In Stanford's ImageNet speed test, http://fast.ai was: - fastest on publicly available infrastructure - fastest on GPUs - fastest on a single machine - faster than Intel’s entry that used a cluster of 128 machines - lowest actual cost http://www.fast.ai/2018/04/30/dawnbench-fastai/ …
ধন্যবাদ। আপনার সময়রেখাকে আরো ভালো করে তুলতে টুইটার এটিকে ব্যবহার করবে। পূর্বাবস্থায়পূর্বাবস্থায় -
Quan Tran পুনঃ টুইট করেছেন
Shiiiiit. We better throw out Basecamp, Ruby on Rails, and every other project or product I’ve worked on for the last 20 years. Mustn’t have been real “creation”, I suppose. Can’t believe I fooled myself for two decades!!https://twitter.com/ricburton/status/988979678844157953 …
ধন্যবাদ। আপনার সময়রেখাকে আরো ভালো করে তুলতে টুইটার এটিকে ব্যবহার করবে। পূর্বাবস্থায়পূর্বাবস্থায় -
Quan Tran পুনঃ টুইট করেছেন
lessons on AI research from an MIT grad student: - Code a simple baseline - Invest in visualization skills (good visualizations often make bugs apparent) - 8 hrs sleeping & 4 hrs working is immensely more productive than 4 hrs sleeping & 8 hrs working http://web.mit.edu/tslvr/www/lessons_two_years.html …
ধন্যবাদ। আপনার সময়রেখাকে আরো ভালো করে তুলতে টুইটার এটিকে ব্যবহার করবে। পূর্বাবস্থায়পূর্বাবস্থায় -
Quan Tran পুনঃ টুইট করেছেন
“Adding a cutting-edge deep learning training technique to the fastai library” by
@hortonhearsafoo https://medium.com/@hortonhearsafoo/adding-a-cutting-edge-deep-learning-training-technique-to-the-fast-ai-library-2cd1dba90a49 … Great write-up of Stochastic Weight Averaging and its new fastai implementation (1st in any DL framework!)ধন্যবাদ। আপনার সময়রেখাকে আরো ভালো করে তুলতে টুইটার এটিকে ব্যবহার করবে। পূর্বাবস্থায়পূর্বাবস্থায় -
Quan Tran পুনঃ টুইট করেছেন

“The best of Python: a collection of my favorite articles from 2017 and 2018 (so far)” by @gergoszerovayhttps://medium.freecodecamp.org/python-collection-of-my-favorite-articles-8469b8455939?source=twitterShare-501b9b662261-1524325982 …ধন্যবাদ। আপনার সময়রেখাকে আরো ভালো করে তুলতে টুইটার এটিকে ব্যবহার করবে। পূর্বাবস্থায়পূর্বাবস্থায় -
Quan Tran পুনঃ টুইট করেছেন
Here is a thoughtful piece by Prof. Michael Jordan on
#ML,#AI, statistics, etc. "In the current era, we have a real opportunity to conceive of something historically new — a human-centric engineering discipline." Yay to Human-centered AI!https://bit.ly/2HzhHECধন্যবাদ। আপনার সময়রেখাকে আরো ভালো করে তুলতে টুইটার এটিকে ব্যবহার করবে। পূর্বাবস্থায়পূর্বাবস্থায়
লোড হতে বেশ কিছুক্ষণ সময় নিচ্ছে।
টুইটার তার ক্ষমতার বাইরে চলে গেছে বা কোনো সাময়িক সমস্যার সম্মুখীন হয়েছে আবার চেষ্টা করুন বা আরও তথ্যের জন্য টুইটারের স্থিতি দেখুন।