Tweetovi
- Tweetovi, trenutna stranica.
- Tweetovi i odgovori
- Medijski sadržaj
Blokirali ste korisnika/cu @starXsally
Jeste li sigurni da želite vidjeti te tweetove? Time nećete deblokirati korisnika/cu @starXsally
-
Prikvačeni tweet
تحت هي التغريدة، رح صير شارك معكُن كل الجُمل الغريبة، الحلوة، المضحكة، و المؤثرة يلي رح تمر عليي أثناء قراءتي للكتب العلمية ... Highlighted
pic.twitter.com/xHuBCBzynQ
Prikaži ovu nitHvala. Twitter će to iskoristiti za poboljšanje vaše vremenske crte. PoništiPoništi -
مفارقة رف الكتب اللانهائي
:
تخيل عندك رف مستقيم يمتد إلى المالانهاية وتصطف الكتب على طوله إلى المالانهاية أيضاً مع تخصيص رقم لكل كتاب بالترتيب. عند إزالة الكتب الفردية من الرف، أنت تكون قد أزلت كمية لانهائية من الكتب!
فماذا يصبح لدينا؟ كتب إلى المالانهاية أم فراغ لانهائي؟
pic.twitter.com/tcW7jsnSM5
Prikaži ovu nitHvala. Twitter će to iskoristiti za poboljšanje vaše vremenske crte. PoništiPoništi -
يصعب على العقل البشري المحدود أن يتخيل اللانهاية. وقد حاول العلماء تقريب مفهوم اللانهاية للأذهان عن طريق التجارب الفكرية (التخيل): - مفارقة رف الكتب اللانهائي - مفارقة سقوط الكرة - مفارقة الفندق اللانهائي و هي الأشهر لاحظوا بأنني قلت مفهوم اللانهاية وليس العدد اللانهائي.pic.twitter.com/mgr5cnJ9CF
Prikaži ovu nitHvala. Twitter će to iskoristiti za poboljšanje vaše vremenske crte. PoništiPoništi -
تصوير لسطح الشمس بأعلى دقة بواسطة مرصد Daniel K. Inouye الشمسي. لفتتني تشبيهات الناس: - الجلد البشري - فشار بالكراميل -كورن فلكس - سائل الذهب أنا شفتها بتشبه زبدة الفول السوداني الخشنة
pic.twitter.com/A7nJ2KhesJHvala. Twitter će to iskoristiti za poboljšanje vaše vremenske crte. PoništiPoništi -
كتاب صوتي
: تاريخ موجز للزمان من الانفجار الكبير حتى الثقوب السوداء - ستيڤن هوكينچ.
كتاب رائع و بـ لغة بسيطة جداً!
قرأته بكل شغف سنة أولى في البكالوريوس. حالياً عم استرجع الذكريات
استمتعوا 
https://youtu.be/CtlfAl85JWo Hvala. Twitter će to iskoristiti za poboljšanje vaše vremenske crte. PoništiPoništi -
Here's mine: Too many tabs open in my mind.
https://twitter.com/claranellist/status/1222196926050861056 …pic.twitter.com/8bKTf9EzMY
Hvala. Twitter će to iskoristiti za poboljšanje vaše vremenske crte. PoništiPoništi -
سسالي∇ proslijedio/la je Tweet
"إن امتلاك المعرفة لا يقتل الشعور بالدهشة والغموض، دائماً سيكون هناك المزيد من الألغاز " - أناييز نين
Hvala. Twitter će to iskoristiti za poboljšanje vaše vremenske crte. PoništiPoništi -
الفوتونات عبارة عن جسيمات يمكن أن نصِف (بشكل إحتمالي) الديناميكا الخاصة بها بواسطة ميكانيكا الموجات! لم نفهم طبيعة الجسيمات الكمية كلياً حتى الآن. الطبيعة المزدوجة wave-particle duality مفهوم غير واضح و لم يعد يذكر في كتب الفيزياء الحديثة.https://twitter.com/PopSciArabia/status/1220345640745668608 …
Hvala. Twitter će to iskoristiti za poboljšanje vaše vremenske crte. PoništiPoništi -
معقول هالنوع من الطلاب ما بيعرفوا تأثير هالتصرفات على زملائهم؟ لا تكون سلبي و تنشر السلبية و لا تكون متحمس جداً بمعنى أنك تقول أنك ختمت المادة و فاهم كل شي و الامتحان كان سهل. حتى هالأشياء بتسبب التوتر لطالب ما قدر يفهم كل شي و لا قدر يحل الإمتحان كويّس لسبب ما. كونوا طبيعيين!
Prikaži ovu nitHvala. Twitter će to iskoristiti za poboljšanje vaše vremenske crte. PoništiPoništi -
"You are being very negative and nervous! It is contagious, just keep it to yourself!" "أنتي عم تكوني سلبية و متوترة كتير. هالشيء مُعدي، خلي هالكلام بداخلك!" كان بودي أزعل على الزميلة X بس الشخص يلي بينشر السلبية جداً أناني و الشخص يلي يواجه الناس السلبية بهالشكل شخص شجاع.
Prikaži ovu nitHvala. Twitter će to iskoristiti za poboljšanje vaše vremenske crte. PoništiPoništi -
كان عندنا إمتحان عن الـHigh Energy Physics و كنا تلت بنات عم نحاول ندرس بالدقائق الأخيرة. الزميلة X كانت كتير متوترة و عم تقول أنا رح أرسب أنا ما بعرف شي أنا نسيت كل شي. الزميلة Y تركت دراستها و قالت لـ X :
Prikaži ovu nitHvala. Twitter će to iskoristiti za poboljšanje vaše vremenske crte. PoništiPoništi -
Physics = 1/√2 [ | my passion 〉+ | my nightmare 〉]https://twitter.com/astroparticular/status/1219001828911640577 …
Hvala. Twitter će to iskoristiti za poboljšanje vaše vremenske crte. PoništiPoništi -
هناك الكثير لنكتشفه عن الكون الذي نعيش فيه... هذه دعوة لإنضمام المزيد إلى البحث العلمي في علم الفيزياء و الكونيات، بالأخص النساء.
#WomenInScience
Prikaži ovu nitHvala. Twitter će to iskoristiti za poboljšanje vaše vremenske crte. PoništiPoništi -
و هذه أسئلة أيضاً في فيزياء النيوترينو: -ما هي كتلة النيوترينو؟ ولماذا هي صغيرة جداً؟! -ما هو ترتيب الكتل الثلاث للنيوترينو (m1/m2/m3)؟ -هل هناك نوع(flavor) رابع للنيوترينو غير الإلكترون، ميون، وتاو؟ -هل النيوترينو هو نفسه النيوترينو المضاد؟ -ما هو مصدر النيوترينوز عالية الطاقة؟https://twitter.com/youssefalbanay/status/1218565294324682755 …
Prikaži ovu nitHvala. Twitter će to iskoristiti za poboljšanje vaše vremenske crte. PoništiPoništi -
سسالي∇ proslijedio/la je Tweet
When cosmic rays interact with nuclei in the sun's atmosphere, they produce neutrinos. If IceCube could detect these, it may help us understand solar magnetic fields and dark matter.
So we performed the first-ever solar atmospheric neutrino search!
https://icecube.wisc.edu/news/view/713 pic.twitter.com/90YwFrs3hd
Prikaži ovu nitHvala. Twitter će to iskoristiti za poboljšanje vaše vremenske crte. PoništiPoništi -
الإجابات كلها صحيحة مع شوية تعديلات: True if x=0 For small-angle approx: sinx~x بس الهدف من التصويت كان للدعابة وقلبنا الموضوع جد
عالعموم يلي صوّت True مهندسين لأنهم عمليين.
يلي صوّت x=0 جماعة الرياضيات لأنهم دقيقين.
يلي صوّت التصويت الأخير فيزيائيين لأن عشقهم الافتراض.Prikaži ovu nitHvala. Twitter će to iskoristiti za poboljšanje vaše vremenske crte. PoništiPoništi -
لسا عندكم فرصة تجاوبوا قبل ما نزّل الإجابة النهائية. يلي جاوب أو يؤيّد x=0+2nπ أرجوك لا تتعلم من الـ physics memes
pic.twitter.com/tZdKIrm1Ga
Prikaži ovu nitHvala. Twitter će to iskoristiti za poboljšanje vaše vremenske crte. PoništiPoništi -
Hvala. Twitter će to iskoristiti za poboljšanje vaše vremenske crte. PoništiPoništi
-
التخيّل الصحيح لتنافر إلكترونين على سبيل المثال يأتي من نظرية الكهروديناميكا الكمية (Quantum Electrodynamics) نتيجة تبادل فوتونات افتراضية بين الإلكترونين. الكهروديناميكا الكمية ولدت نتيجة الدمج بين ميكانيكا الكم و النسبية الخاصة و نظرية المجالات و الحقول التي تنسب إلى ماكسويل.pic.twitter.com/V6WTIc74gq
Hvala. Twitter će to iskoristiti za poboljšanje vaše vremenske crte. PoništiPoništi -
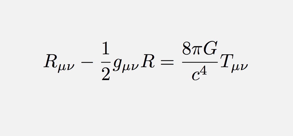
سسالي∇ proslijedio/la je Tweet
في محاضرة البارحة قلت بأن معادلة آينشتاين للجاذبية هي أجمل معادلة في العلم على الاطلاق! بضع رموز تعني أن: - المكان والزمان كيان واحد - الكون له بداية بانفجار عظيم - توجد ثقوب سوداء في الكون - المكان والزمان يهتزان كأمواج البحر -الضوء يتحرك بخطوط منحنية ويشكل عدسات كونية ضخمةpic.twitter.com/S1oKtsY6El
Hvala. Twitter će to iskoristiti za poboljšanje vaše vremenske crte. PoništiPoništi -
Hvala. Twitter će to iskoristiti za poboljšanje vaše vremenske crte. PoništiPoništi
Čini se da učitavanje traje već neko vrijeme.
Twitter je možda preopterećen ili ima kratkotrajnih poteškoća u radu. Pokušajte ponovno ili potražite dodatne informacije u odjeljku Status Twittera.
