Tweetovi
- Tweetovi, trenutna stranica.
- Tweetovi i odgovori
- Medijski sadržaj
Blokirali ste korisnika/cu @seanmcdirmid18
Jeste li sigurni da želite vidjeti te tweetove? Time nećete deblokirati korisnika/cu @seanmcdirmid18
-
Designing a new type system is always fun. Should have an early demo soon.
Hvala. Twitter će to iskoristiti za poboljšanje vaše vremenske crte. PoništiPoništi -
Can I get anymore newbie than thinking "((0 as (number | false)) == false" would evaluate to false? I thought === was only needed with strings...ugh
Hvala. Twitter će to iskoristiti za poboljšanje vaše vremenske crte. PoništiPoništi -
I accidentally created a PL theory.
Hvala. Twitter će to iskoristiti za poboljšanje vaše vremenske crte. PoništiPoništi -
The type error for the code "(Foo) - foo" in C#. There isn't really a point in figuring out if something is a C-style cast in the parser, though they do special case keywords (e.g. (int) -10 won't fail).pic.twitter.com/elQjwIoYbZ
Hvala. Twitter će to iskoristiti za poboljšanje vaše vremenske crte. PoništiPoništi -
I'm doing it by hand right now of course, better to try things out manually before automating it all. Coming up with the notation is the hardest part, and I doubt there are very standard ways of expressing these kinds of things.
Prikaži ovu nitHvala. Twitter će to iskoristiti za poboljšanje vaše vremenske crte. PoništiPoništi -
My approach seems to be useful for getting through really hairy code...this is part of my incremental brace matching implementation.pic.twitter.com/v6aU2DvL93
Prikaži ovu nitHvala. Twitter će to iskoristiti za poboljšanje vaše vremenske crte. PoništiPoništi -
Would people be amenable to permanent tool directed type inference in code if the inferred types could be hidden from view? The type inference would then happen at edit time rather than compile time. Good? Bad?
Hvala. Twitter će to iskoristiti za poboljšanje vaše vremenske crte. PoništiPoništi -
So pettifogging is just congressional bike shedding?
Hvala. Twitter će to iskoristiti za poboljšanje vaše vremenske crte. PoništiPoništi -
What if abstract registration meant registration in the abstract rather than the registration of abstracts?
Hvala. Twitter će to iskoristiti za poboljšanje vaše vremenske crte. PoništiPoništi -
I should make it clear that direct manipulation supports changes through further manipulations, it is just that manipulations can't easily be deleted, added, or changed within the existing list of manipulation (e.g. undo just supports blowing away the last manipulation).
Prikaži ovu nitHvala. Twitter će to iskoristiti za poboljšanje vaše vremenske crte. PoništiPoništi -
The problem kind of shows up in the difference between WYSIWYG word processors vs. markup ones (like Word vs. Latex).
Prikaži ovu nitHvala. Twitter će to iskoristiti za poboljšanje vaše vremenske crte. PoništiPoništi -
Has anyone summed up the trade off between direct manipulation and indirect manipulation? The former you do things directly but editing and adding to the manipulation is hard (if not impossible). The latter allows for editing but is harder to do in the first place.
Prikaži ovu nitHvala. Twitter će to iskoristiti za poboljšanje vaše vremenske crte. PoništiPoništi -
Obviously 20 +-+-+ 10 evaluates to 30 in javascript.
Hvala. Twitter će to iskoristiti za poboljšanje vaše vremenske crte. PoništiPoništi -
I’m trying to figure out a good convention for a language I’m designing. It involves a lot of single character names that could be values or types. I’m wondering about capitalization: BNF convention (terminals small, non terminals capped) or PL convention(opposite)?
Hvala. Twitter će to iskoristiti za poboljšanje vaše vremenske crte. PoništiPoništi -
(Hopefully this doesn’t look as complicated as Agda or Idris)
Prikaži ovu nitHvala. Twitter će to iskoristiti za poboljšanje vaše vremenske crte. PoništiPoništi -
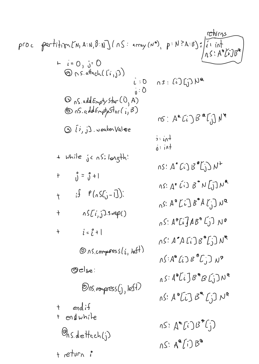
Partition is easier than reverse. The idea is that the abstract state of the procedure is always visible and detailed enough to inform the programmer what is going on. The trade off is that additional meta statements are needed to maintain this abstract state.pic.twitter.com/MJx4vDv3yL
Prikaži ovu nitHvala. Twitter će to iskoristiti za poboljšanje vaše vremenske crte. PoništiPoništi -
Ugly, but one would get abstract feedback that you are doing the right thing.
Prikaži ovu nitHvala. Twitter će to iskoristiti za poboljšanje vaše vremenske crte. PoništiPoništi -
Reverse, 7 lines of code, many more in abstract shape management.pic.twitter.com/OZZnF4NsIZ
Prikaži ovu nitHvala. Twitter će to iskoristiti za poboljšanje vaše vremenske crte. PoništiPoništi -
A REPL for abstract reasoning.
Hvala. Twitter će to iskoristiti za poboljšanje vaše vremenske crte. PoništiPoništi -
Unwarranted optimism and delusions of competence....
Hvala. Twitter će to iskoristiti za poboljšanje vaše vremenske crte. PoništiPoništi
Čini se da učitavanje traje već neko vrijeme.
Twitter je možda preopterećen ili ima kratkotrajnih poteškoća u radu. Pokušajte ponovno ili potražite dodatne informacije u odjeljku Status Twittera.