Tweetovi
- Tweetovi, trenutna stranica.
- Tweetovi i odgovori
- Medijski sadržaj
Blokirali ste korisnika/cu @psi19261
Jeste li sigurni da želite vidjeti te tweetove? Time nećete deblokirati korisnika/cu @psi19261
-
psi1926 proslijedio/la je Tweet
3 February 1917 | Hungarian Jewish woman Erzsébet Klein was born in Miskolc. She was a tailor. She was deported to
#Auschwitz in June 1944. She did not survive. (Photo:@yadvashem)pic.twitter.com/0Luu37KONS
Hvala. Twitter će to iskoristiti za poboljšanje vaše vremenske crte. PoništiPoništi -
psi1926 proslijedio/la je Tweet
2 February 1934 | Belgian Jew Jan Himmel was born in Antwerp. He was deported to
#Auschwitz in October 1942 and murdered in a gas chamber. He was 8 years old. (Photo:@yadvashem)pic.twitter.com/3AfumJKZYh
Hvala. Twitter će to iskoristiti za poboljšanje vaše vremenske crte. PoništiPoništi -
psi1926 proslijedio/la je Tweet
1 February 1896 | Czech Jew Josef Guttmann was born in Čáslav. He was imprisoned in Theresienstadt Ghetto on 22 December 1942 and deported to
#Auschwitz on 23 January 1943. He did not survive.pic.twitter.com/xHkJz1IlRZ
Hvala. Twitter će to iskoristiti za poboljšanje vaše vremenske crte. PoništiPoništi -
psi1926 proslijedio/la je Tweet
1 February 1942 | Dutch Jewish girl Betje van Delft was born in Sappemeer. She arrived at
#Auschwitz on 10 December 1942 in a transport of 927 Jews from the occupied Netherlands. She was murdered in a gas chamber. She was 10 months old. (Photo:@yadvashem)pic.twitter.com/w3F8xx12HM
Hvala. Twitter će to iskoristiti za poboljšanje vaše vremenske crte. PoništiPoništi -
psi1926 proslijedio/la je Tweet
31 January 1931 | German Jewish girl Margot Simon was born in Berlin. She was deported to
#Auschwitz and did not survive. (Photo:@yadvashem)pic.twitter.com/6ttLbyNP7k
Hvala. Twitter će to iskoristiti za poboljšanje vaše vremenske crte. PoništiPoništi -
psi1926 proslijedio/la je Tweet
31 January 1933 | Italian Jew Mario Calo was born in Rome. He was deported to
#Auschwitz. He did not survive. (Photo:@yadvashem)pic.twitter.com/Q6uKfiKZTU
Hvala. Twitter će to iskoristiti za poboljšanje vaše vremenske crte. PoništiPoništi -
psi1926 proslijedio/la je Tweet
This is the sharpest movie of the Sun ever made. Even at this fine resolution, the scale is enormous; each plasma cell here is about the size of Texas. https://www.nso.edu/telescopes/dkist/first-light-cropped-field-movie/ … via
@NatSolarObspic.twitter.com/JYSDw1Grx6Prikaži ovu nitHvala. Twitter će to iskoristiti za poboljšanje vaše vremenske crte. PoništiPoništi -
psi1926 proslijedio/la je Tweet
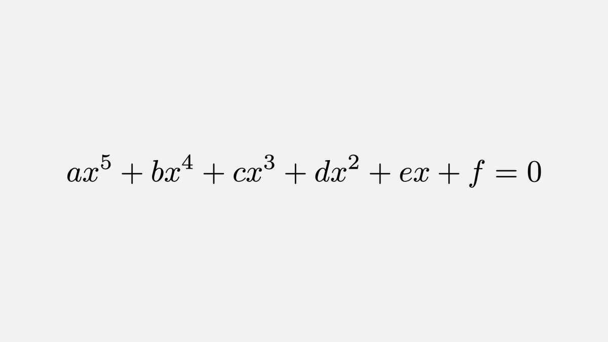
In 1823, Niels Hendrik Abel managed to prove that there is no algebraic formula to solve equations of degree 5pic.twitter.com/3Agja4l6dL
Hvala. Twitter će to iskoristiti za poboljšanje vaše vremenske crte. PoništiPoništi -
psi1926 proslijedio/la je Tweet
Atlas shows off its agility with a flawless gymnastic routine. Credit: Boston Dynamics.pic.twitter.com/tDufQZCM1B
Hvala. Twitter će to iskoristiti za poboljšanje vaše vremenske crte. PoništiPoništi -
psi1926 proslijedio/la je Tweet
29 January 1941 | Dutch Jewish boy Arnold Emden was born in The Hague. In August 1942 he was deported to
#Auschwitz and murdered in a gas chamber. He was 1,5. (Phtopic.twitter.com/26XB8hR52L
Hvala. Twitter će to iskoristiti za poboljšanje vaše vremenske crte. PoništiPoništi -
psi1926 proslijedio/la je Tweet
Cauchy wrote over 700 math papers.
Hvala. Twitter će to iskoristiti za poboljšanje vaše vremenske crte. PoništiPoništi -
psi1926 proslijedio/la je Tweet
+, Σ, and ∫ are just different evolutions of the same Pokémon
Prikaži ovu nitHvala. Twitter će to iskoristiti za poboljšanje vaše vremenske crte. PoništiPoništi -
psi1926 proslijedio/la je Tweet
28 January 1890 | Polish woman Władysława Kwaśniewska was born in Częstochowa. Incarcerated in
#Auschwitz on 30 July 1942 (camp no. 13143). She perished in the camp on 28 August 1942.pic.twitter.com/zAJG2FmVvN
Hvala. Twitter će to iskoristiti za poboljšanje vaše vremenske crte. PoništiPoništi -
psi1926 proslijedio/la je Tweet
28 January 1910 | Polish Jew Moses Herszfinger was born in Zduńska Wola. He was a weaver. Incarcerated in
#Auschwitz on 12 March 1942 (camp no. 26704). He perished in the camp 8 days later. He was 32.pic.twitter.com/pUYvxGo7sh
Hvala. Twitter će to iskoristiti za poboljšanje vaše vremenske crte. PoništiPoništi -
psi1926 proslijedio/la je Tweet
75 years ago today over 7,000 prisoners of the German Nazi
#Auschwitz camp, including ca. 700 children, were liberated by the soldiers of the Soviet army. 1,689 days of murder, humiliation, suffering, and pain were over. Today we all remember. |#Auschwitz75#OnThisDaypic.twitter.com/af5m1cs83d
Prikaži ovu nitHvala. Twitter će to iskoristiti za poboljšanje vaše vremenske crte. PoništiPoništi -
psi1926 proslijedio/la je Tweet
27 January 1933 | German Jew Lutz Gruenstein was born in Berlin. In 1944 he was deported to
#Auschwitz where he was murdered in a gas chamber. He was 11 years old. (Photo:@yadvashem)pic.twitter.com/pksN9AP9Fy
Hvala. Twitter će to iskoristiti za poboljšanje vaše vremenske crte. PoništiPoništi -
psi1926 proslijedio/la je Tweet
"I know that I am mortal by nature and ephemeral, but when I trace at my pleasure the windings to and fro of the heavenly bodies, I no longer touch Earth with my feet." — Ptolemy, A.D. 150 Milky Way over Laguna Carhuacocha, Peru. Credit: Aryeh Nirenberg.pic.twitter.com/5JK6HgDSjg
Hvala. Twitter će to iskoristiti za poboljšanje vaše vremenske crte. PoništiPoništi -
psi1926 proslijedio/la je Tweet
„Nie wieder. Gemeinsam mit den Präsidenten von
&
und über 50 weiteren Repräsentanten gingen wir auf den Schienen vom Eingang nach Birkenau zum Denkmal, wo die Krematorien waren und zündeten Kerzen zum Gedenken an die Opfer an.“ @PresidentRuvi Rivlinpic.twitter.com/whxuIt21kaHvala. Twitter će to iskoristiti za poboljšanje vaše vremenske crte. PoništiPoništi -
psi1926 proslijedio/la je Tweet
New paper “An Introduction to Complex Systems Science and its Applications”--“assumes only a high school mathematical and scientific background, so that it may be accessible to ... anyone who is interested in systems and society”https://necsi.edu/an-introduction-to-complex-systems-science-and-its-applications …
Prikaži ovu nitHvala. Twitter će to iskoristiti za poboljšanje vaše vremenske crte. PoništiPoništi -
psi1926 proslijedio/la je TweetHvala. Twitter će to iskoristiti za poboljšanje vaše vremenske crte. PoništiPoništi
Čini se da učitavanje traje već neko vrijeme.
Twitter je možda preopterećen ili ima kratkotrajnih poteškoća u radu. Pokušajte ponovno ili potražite dodatne informacije u odjeljku Status Twittera.