Tweetovi
- Tweetovi, trenutna stranica.
- Tweetovi i odgovori
- Medijski sadržaj
Blokirali ste korisnika/cu @profmatics
Jeste li sigurni da želite vidjeti te tweetove? Time nećete deblokirati korisnika/cu @profmatics
-
Profmathsland proslijedio/la je Tweet
Interesting comments split between people who did and did not learn this equation for the area of a triangle… Does not require a base measurement, just the side lengths. As seen in our new video… https://youtu.be/UIjeCKPHbso pic.twitter.com/fpwvl88mYg
Hvala. Twitter će to iskoristiti za poboljšanje vaše vremenske crte. PoništiPoništi -
Profmathsland proslijedio/la je Tweet
Everyone has three lives: a public life, a private life, and a secret life
Hvala. Twitter će to iskoristiti za poboljšanje vaše vremenske crte. PoništiPoništi -
Profmathsland proslijedio/la je Tweet
Kelechi Iheanacho has scored the: — Most goals by a Nigerian in the FA Cup (10) — Most goals by a Nigerian in the League Cup (8) You love to see it
pic.twitter.com/HQx3kRGOF6
Hvala. Twitter će to iskoristiti za poboljšanje vaše vremenske crte. PoništiPoništi -
Profmathsland proslijedio/la je Tweet
The distribution of women and men across academic disciplines seems to be affected by perceptions of intellectual brilliance. Today's paper presents 4 studies performed to assess the perception of brilliance by young children aged 5 to 7. Insightful
: https://fermatslibrary.com/s/gender-stereotypes-about-intellectual-ability-emerge-early-and-influence-children-s-interests …pic.twitter.com/uxH2AF1cw6
Hvala. Twitter će to iskoristiti za poboljšanje vaše vremenske crte. PoništiPoništi -
Profmathsland proslijedio/la je Tweet
If money didn't exist, would you still get up every morning and do what you do for a living?
Hvala. Twitter će to iskoristiti za poboljšanje vaše vremenske crte. PoništiPoništi -
Profmathsland proslijedio/la je Tweet
A visual proof A square inscribed in a semicircle has 2/5 the area of a square inscribed in the circle of the same radius.
pic.twitter.com/f3hG51CYhm
Hvala. Twitter će to iskoristiti za poboljšanje vaše vremenske crte. PoništiPoništi -
Profmathsland proslijedio/la je TweetHvala. Twitter će to iskoristiti za poboljšanje vaše vremenske crte. PoništiPoništi
-
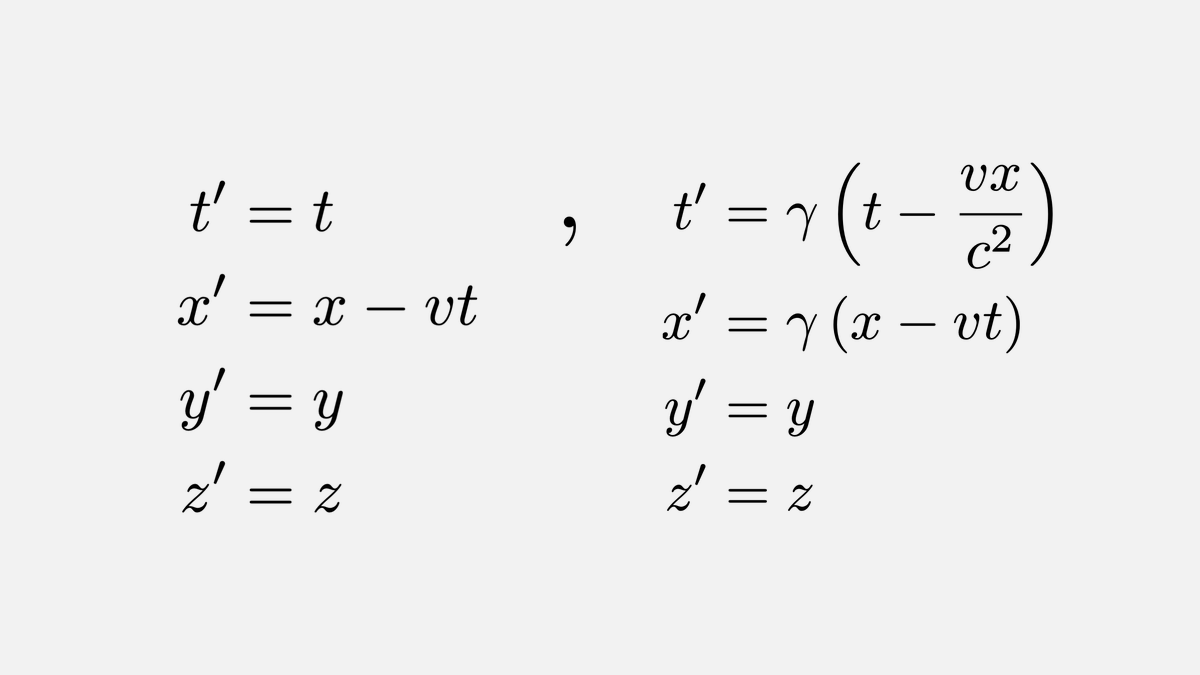
Profmathsland proslijedio/la je Tweet
It took us 255 years to go from Galilean transformations for falling bodies to Lorentz transformations that are in accordance with Einstein's special relativity.pic.twitter.com/hY8F60VogW
Hvala. Twitter će to iskoristiti za poboljšanje vaše vremenske crte. PoništiPoništi -
Profmathsland proslijedio/la je Tweet
Circular Prime 193 939 939 391 393 919 939 193 391 939 919 393 are all prime numbers. Regardless of what way you arrange the digits, the resulting number is prime.pic.twitter.com/wsbZnGt4b9
Hvala. Twitter će to iskoristiti za poboljšanje vaše vremenske crte. PoništiPoništi -
Profmathsland proslijedio/la je Tweet
In 1997, the Texas banker Andrew Beal noticed that for any solution of Aˣ+Bʸ=Cᶻ he could find, A,B,and C had a common factor (e.g. 3⁶+18³=3⁸, 3 is a common factor). There's currently a $1 million prize for a proof or counterexample of the Beal conjecture.pic.twitter.com/QgWsMzVvs7
Hvala. Twitter će to iskoristiti za poboljšanje vaše vremenske crte. PoništiPoništi -
Profmathsland proslijedio/la je Tweet
It was only 282 years ago that Euler presented in his textbooks the exact formula for the volume of a spherepic.twitter.com/10QCCtUmeA
Hvala. Twitter će to iskoristiti za poboljšanje vaše vremenske crte. PoništiPoništi -
Profmathsland proslijedio/la je Tweet
This is the largest prime such that the first n digits are divisible by the nth prime 8 is divisible by 2 87 is divisible by 3 875 is divisible by 5 ...pic.twitter.com/KMhPMKS84i
Hvala. Twitter će to iskoristiti za poboljšanje vaše vremenske crte. PoništiPoništi -
Profmathsland proslijedio/la je Tweet
Choose 2 numbers at random - here's the probability they will have no common factorpic.twitter.com/fShMt0cZC0
Hvala. Twitter će to iskoristiti za poboljšanje vaše vremenske crte. PoništiPoništi -
Profmathsland proslijedio/la je Tweet
The nabla symbol, commonly used in math to represent the gradient of a function ∇f, is so-called because it looks like a harp and the Greek word for the Hebrew or Egyptian form of a harp is "nabla".pic.twitter.com/KosVisAfS0
Hvala. Twitter će to iskoristiti za poboljšanje vaše vremenske crte. PoništiPoništi -
Profmathsland proslijedio/la je Tweet
Even though we have known that e^π is transcendental since 1930, to this day no one has been able to prove that π^e is transcendental.pic.twitter.com/JiaqcqaeOv
Hvala. Twitter će to iskoristiti za poboljšanje vaše vremenske crte. PoništiPoništi -
Profmathsland proslijedio/la je Tweet
Following yesterday's tweet, here's a proof that e^π is transcendental.pic.twitter.com/O8yULNz74P
Hvala. Twitter će to iskoristiti za poboljšanje vaše vremenske crte. PoništiPoništi -
Profmathsland proslijedio/la je Tweet
In 1546, Niccolo Tartaglia became the first person to discover that a projectile should be fired at 45° to maximize range. His conclusion was based on incorrect theory as can be seen in his diagrams.pic.twitter.com/SoYlNXI7Yc
Hvala. Twitter će to iskoristiti za poboljšanje vaše vremenske crte. PoništiPoništi -
Profmathsland proslijedio/la je Tweet
This is Champernowne’s constant. It is transcendental (Mahler 1961) and normal in base 10 (Bailey and Crandall 2002), meaning that each digit 0 to 9 occurs 10% of the time.pic.twitter.com/7GExueebda
Hvala. Twitter će to iskoristiti za poboljšanje vaše vremenske crte. PoništiPoništi -
Profmathsland proslijedio/la je Tweet
An emirp is a prime number that gives a different prime when the order of the digits is reversed.pic.twitter.com/mVTTF8k2wL
Hvala. Twitter će to iskoristiti za poboljšanje vaše vremenske crte. PoništiPoništi -
Profmathsland proslijedio/la je Tweet
The Infinite Gift
This is an interesting object where the side of the nth box is 1/√n. As n→+∞, the gift has infinite surface area and length but finite volume!
Learn more about this interesting paradox here: https://fermatslibrary.com/s/gabriels-horn pic.twitter.com/kxO20PTGti
Hvala. Twitter će to iskoristiti za poboljšanje vaše vremenske crte. PoništiPoništi
Čini se da učitavanje traje već neko vrijeme.
Twitter je možda preopterećen ili ima kratkotrajnih poteškoća u radu. Pokušajte ponovno ili potražite dodatne informacije u odjeljku Status Twittera.