Tweetovi
- Tweetovi, trenutna stranica.
- Tweetovi i odgovori
- Medijski sadržaj
Blokirali ste korisnika/cu @mikeofcc
Jeste li sigurni da želite vidjeti te tweetove? Time nećete deblokirati korisnika/cu @mikeofcc
-
Yes, American Samoa needs answer why it couldn't respond to simple request on 9-1-1 fee integrity & public safety. In past, AS hasn't collected such fees so this should have been easy. FCC wants to know what’s happening to American Samoa’s 911 fees?http://disq.us/t/3lvjcvz
Hvala. Twitter će to iskoristiti za poboljšanje vaše vremenske crte. PoništiPoništi -
Looking forward to reading this new
@CTIA report but findings are on target. It's why I've worked for years to get the U.S. in position to finish multiple licensed mid-band actions, with acceptable C-Band outcome a must. Now, its about smart & thoughtful@FCC execution!https://twitter.com/CTIA/status/1224348573992656896 …
Hvala. Twitter će to iskoristiti za poboljšanje vaše vremenske crte. PoništiPoništi -
What a lovely moment to recall all of the hard work that has already gone into making CBRS (3.5 Ghz-band) operational. More work to do but its nice to reflect on the many, many hurdles already surpassed. Now we need to get the PAL auction done!https://twitter.com/davwrigh/status/1224401466410127363 …
Hvala. Twitter će to iskoristiti za poboljšanje vaše vremenske crte. PoništiPoništi -
My latest 9-1-1 fee diversion letter asks American Samoa Governor Lolo Matalasi Moliga why territory didn't bother filing 2018 data with
@FCC. As the only non-filer, its completely unacceptable & shouldn't have been that difficult. See ⟶ https://www.fcc.gov/document/comm-orielly-letter-governor-moliga-re-9-1-1-fee-diversion …pic.twitter.com/Nh10maYdf6
Hvala. Twitter će to iskoristiti za poboljšanje vaše vremenske crte. PoništiPoništi -
Outstanding visit today with
@GrayDCnews to see news bureau & hear their dogged focus on LOCAL news! In these times, wonderful to hear company devoting increased resources on this front. Why govt officials reject more of this is beyond all logic. Thanks@J_Policastro for tour!pic.twitter.com/SR1AFR8ZZW
Hvala. Twitter će to iskoristiti za poboljšanje vaše vremenske crte. PoništiPoništi -
Another story highlighting New Jersey's shameful & harmful 9-1-1 fee diversion practices. How can NJ leaders be so callous with public safety?
@njspotlight $1B Diverted from Funds for Upgrades to NJ’s 911 System: How to Stop the Raids http://bit.ly/314EYoZ via@njspotlightHvala. Twitter će to iskoristiti za poboljšanje vaše vremenske crte. PoništiPoništi -
My latest blog re: next round of media modernization ideas worth pursing is available here --> https://www.fcc.gov/news-events/blog/2020/01/28/more-media-modernization-program-carriage-process-cable-operator …. It includes three fairly simple changes for program carriage & attributable interest.pic.twitter.com/JUsIpKtiM2
Hvala. Twitter će to iskoristiti za poboljšanje vaše vremenske crte. PoništiPoništi -
I defer on trade policy, but
@realDonaldTrump & Admin is 100% right that U.S. must demand much, much more out international organizations. My views on the WRC &@ITU are exactly in line with this: WRC/ITU must dramatically improve or U.S. should find new structure.https://twitter.com/bbaschuk/status/1222127182736187392 …Hvala. Twitter će to iskoristiti za poboljšanje vaše vremenske crte. PoništiPoništi -
Yes, Yes, Yes. Rep.
@cathymcmorris is correct: we must have more mid-band spectrum for licensed advanced wireless services. CBRS is coming but limited. We must get positive outcome on C-band & 3.1 to 3.55 GHz. Hard work and heavy lifting required.https://twitter.com/caseyegan_/status/1222167336171593735 …Hvala. Twitter će to iskoristiti za poboljšanje vaše vremenske crte. PoništiPoništi -
Mike O’Rielly proslijedio/la je Tweet
Full Commercial Deployments Authorized for the 3.5 GHz Band by
@FCC What a huge accomplishment for everyone involved, including@NTIAgov, DoD,@OnGoWireless, and@WInnForum. Special thanks to@AjitPaiFCC &@mikeofcc for their leadership on this program. https://docs.fcc.gov/public/attachments/DA-20-110A1.pdf …Hvala. Twitter će to iskoristiti za poboljšanje vaše vremenske crte. PoništiPoništi -
Mike O’Rielly proslijedio/la je Tweet
In the latest step to advance U.S. leadership in
#5G, the@FCC's approved four systems that will enable the 3.5 GHz band to be put to use for the benefit of American consumers. Thanks to@mikeofcc and our staff for helping us achieve this milestone! https://docs.fcc.gov/public/attachments/DOC-362108A1.pdf …pic.twitter.com/m8YCVM6JwU
Hvala. Twitter će to iskoristiti za poboljšanje vaše vremenske crte. PoništiPoništi -
Awesome news:
@FCC has authorized four SAS operators for full commercial deployment in CBRS Band (3.5 GHz). Lets innovators free to amaze! So many people to thank for getting to this point but@AjitPaiFCC & staff of@FCC,@NTIAgov, and DoD are top of list. https://docs.fcc.gov/public/attachments/DA-20-110A1.pdf …Hvala. Twitter će to iskoristiti za poboljšanje vaše vremenske crte. PoništiPoništi -
The burden is now on
@FCC to implement & enforce its provisions until every last pirate has ended operations!Prikaži ovu nitHvala. Twitter će to iskoristiti za poboljšanje vaše vremenske crte. PoništiPoništi -
FYI: The PIRATE Act, re stopping illegal pirate radio operators harming listeners & broadcasters, is now law! Many to thank, esp:
@realDonaldTrump@SteveDaines@SenGaryPeters@SenatorWicker,@SenatorCantwell@RepPaulTonko@RepGusBilirakis@FrankPallone@repgregwalden@AjitPaiFCCPrikaži ovu nitHvala. Twitter će to iskoristiti za poboljšanje vaše vremenske crte. PoništiPoništi -
NJ's 9-1-1 system is outdated & yet state is stealing 9-1-1 fees that would update it. Outrageous.
@PhilMurphyNJ stop this. Thanks State Sen Testa for efforts! N.J. has taken $1B from taxpayers to improve the 911 system. It’s still completely brokenhttps://www.nj.com/politics/2020/01/nj-has-taken-1b-from-taxpayers-to-improve-the-911-system-its-still-completely-broken.html …Hvala. Twitter će to iskoristiti za poboljšanje vaše vremenske crte. PoništiPoništi -
Great
@NJTVNews story/video highlighting NJ's shameful stealing of 9-1-1 fees for other spending. Directly harms NJ citizens. This must stop. County leaders say over a billion dollars in NJ 911 fees have been diverted http://bit.ly/36wK9PR via@NJTVNewsHvala. Twitter će to iskoristiti za poboljšanje vaše vremenske crte. PoništiPoništi -
Great news for the efforts to eliminate these illegal operators causing harm to their communities and local broadcasters. Thanks to
@POTUS!https://twitter.com/JohnHendel/status/1220865031761539081 …
Hvala. Twitter će to iskoristiti za poboljšanje vaše vremenske crte. PoništiPoništi -
Enjoyed my time this afternoon
@WashAutoShow discussing spectrum — mostly 5.9 GHz. Good interest in@FCC activity & great forum to outline views on auto related issues.pic.twitter.com/kh2x5v8luj
Hvala. Twitter će to iskoristiti za poboljšanje vaše vremenske crte. PoništiPoništi -
Mike O’Rielly proslijedio/la je Tweet
ACA Connects Welcomes FCC Commissioner Michael O’Rielly To 27th Annual Summit:http://j.mp/36n1BGx
Hvala. Twitter će to iskoristiti za poboljšanje vaše vremenske crte. PoništiPoništi -
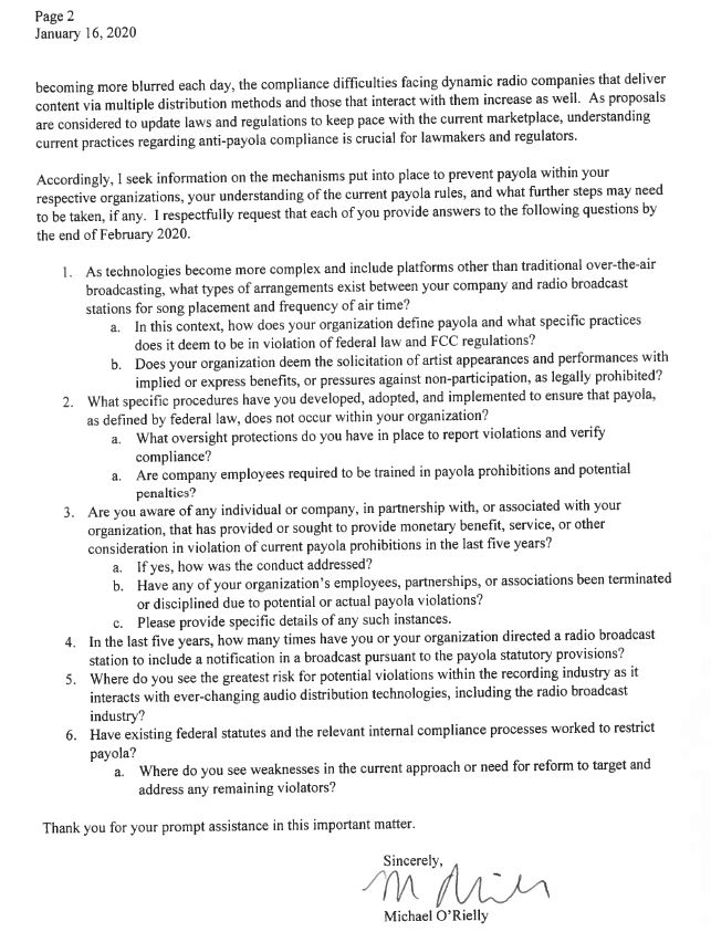
See my latest letter on issue of payola. This takes up
@RIAA on its suggestion I reach out to recording companies directly. We'll get to the bottom of recent accusations at some point & then can figure out next steps -- if necessary. https://docs.fcc.gov/public/attachments/DOC-361998A1.pdf … https://twitter.com/mikeofcc/status/1169319193369554944 …pic.twitter.com/yGSGGvbncm
Hvala. Twitter će to iskoristiti za poboljšanje vaše vremenske crte. PoništiPoništi
Čini se da učitavanje traje već neko vrijeme.
Twitter je možda preopterećen ili ima kratkotrajnih poteškoća u radu. Pokušajte ponovno ili potražite dodatne informacije u odjeljku Status Twittera.