Tweetovi
- Tweetovi, trenutna stranica.
- Tweetovi i odgovori
- Medijski sadržaj
Blokirali ste korisnika/cu @mardorev
Jeste li sigurni da želite vidjeti te tweetove? Time nećete deblokirati korisnika/cu @mardorev
-
Mardochee Reveil, PhD proslijedio/la je Tweet
What’s the point of doing science if you can’t turn your first-first author paper into a mug?
@LisandroMaya#phdcouple#phdchat#phdlife@AcademicChatterpic.twitter.com/MRm0DZN60j
Hvala. Twitter će to iskoristiti za poboljšanje vaše vremenske crte. PoništiPoništi -
Mardochee Reveil, PhD proslijedio/la je Tweet
german word for the feeling when your question unlocks one of the secret slides after the talk
Hvala. Twitter će to iskoristiti za poboljšanje vaše vremenske crte. PoništiPoništi -
Mardochee Reveil, PhD proslijedio/la je Tweet
This is how wire fences are knittedpic.twitter.com/VGG77nrMOk
Hvala. Twitter će to iskoristiti za poboljšanje vaše vremenske crte. PoništiPoništi -
Mardochee Reveil, PhD proslijedio/la je Tweet
Joint postdoc opening with me and
@JodieLutkenhaus (amazing opportunity, right?). Project focuses on the synthesis of small molecules and#polymers, modification of#colloidalparticles, and characterization. Applicants should email me a cover letter and CV.@TAMUEngineeringHvala. Twitter će to iskoristiti za poboljšanje vaše vremenske crte. PoništiPoništi -
Reports of M7.7
#earthquake in the carribean between Cuba and Jamaica felt as far as in south florida. Should probably be felt in the south of#Haiti as well. I really hope there is no casualties.Hvala. Twitter će to iskoristiti za poboljšanje vaše vremenske crte. PoništiPoništi -
...There is a trend of overvaluing any work that includes ML/AI and sometimes undervaluing research that doesn't. ML practitioners should be the first to know and share limitations in using ML and appreciate other ways of tackling challenging research questions. 3/3
Prikaži ovu nitHvala. Twitter će to iskoristiti za poboljšanje vaše vremenske crte. PoništiPoništi -
Their publicly voiced reasoning? With ML included, his work would get a lot more attention. Needless to say, I was very disappointed in the lack of rigor of such line of questioning at a PhD defense. But her question did not happen in a vaccum... 2/3
Prikaži ovu nitHvala. Twitter će to iskoristiti za poboljšanje vaše vremenske crte. PoništiPoništi -
ML is not a silver bullet to every problem. I was recently at a PhD defense in EE when a committee member who works in ML asked the student why he didn't include any ML in his research, almost dismissing his 5 years of hard work, his elegant approach and useful results. 1/3
Prikaži ovu nitHvala. Twitter će to iskoristiti za poboljšanje vaše vremenske crte. PoništiPoništi -
Life is short. Find what matters to you and focus your energy on it. There's no time to waste.
Hvala. Twitter će to iskoristiti za poboljšanje vaše vremenske crte. PoništiPoništi -
This is really sad news. I didn't know her personally but was following her progress in bringing AI related jobs to Africa through her company
@Samasource. May her legacy live on.https://tcrn.ch/2uyUeOZHvala. Twitter će to iskoristiti za poboljšanje vaše vremenske crte. PoništiPoništi -
Seen a lot of great decades in review out there. Let's remember that all great accomplishments involve contributions from a group of people. No one succeeds in isolation. Happy new decade! Peace and love to all
Hvala. Twitter će to iskoristiti za poboljšanje vaše vremenske crte. PoništiPoništi -
Had the opportunity to attend
#NOBCChE19 in St Louis, MO for the first time last week. Met amazing black chemists and chemical engineers and gave a talk on how to secure internships and first industry positions. Great experience! Looking forward to next year's@NOBCChEHvala. Twitter će to iskoristiti za poboljšanje vaše vremenske crte. PoništiPoništi -
Latest from
@GoogleAI: "Our machine performed the target computation in 200 seconds, and from measurements in our experiment we determined that it would take the world’s fastest supercomputer 10,000 years to produce a similar output."https://ai.googleblog.com/2019/10/quantum-supremacy-using-programmable.html …Hvala. Twitter će to iskoristiti za poboljšanje vaše vremenske crte. PoništiPoništi -
Mardochee Reveil, PhD proslijedio/la je Tweet
LIVE NOW: Tune in to watch the first
#AllWomanSpacewalk in human history!
Starting at approximately 7:50am ET, @Astro_Christina &@Astro_Jessica venture into the vacuum of space to replace a failed power controller. Watch:https://twitter.com/i/broadcasts/1vOxwapRAMoGB …Hvala. Twitter će to iskoristiti za poboljšanje vaše vremenske crte. PoništiPoništi -
Hvala. Twitter će to iskoristiti za poboljšanje vaše vremenske crte. PoništiPoništi
-
Mardochee Reveil, PhD proslijedio/la je Tweet
BREAKING NEWS: The 2019
#NobelPrize in Physiology or Medicine has been awarded jointly to William G. Kaelin Jr, Sir Peter J. Ratcliffe and Gregg L. Semenza “for their discoveries of how cells sense and adapt to oxygen availability.”pic.twitter.com/6m2LJclOoL
Prikaži ovu nitHvala. Twitter će to iskoristiti za poboljšanje vaše vremenske crte. PoništiPoništi -
"Know what you want to do, hold the thought firmly, and do every day what should be done, and every sunset will see you that much nearer the goal." Elbert Hubbard @ Puerto Vallarta Mexico https://www.instagram.com/p/B3R7sCXjNPX/?igshid=p0u334uabi4h …
Hvala. Twitter će to iskoristiti za poboljšanje vaše vremenske crte. PoništiPoništi -
Alright, I need to look into this one a little more... A Breakthrough for A.I. Technology: Passing an 8th-Grade Science Testhttps://www.nytimes.com/2019/09/04/technology/artificial-intelligence-aristo-passed-test.html …
Hvala. Twitter će to iskoristiti za poboljšanje vaše vremenske crte. PoništiPoništi -
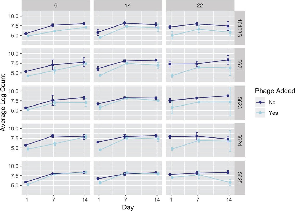
Mardochee Reveil, PhD proslijedio/la je Tweet
Can the environment change Listeria’s sensitivity to phage treatment? Are all Listeria strains made equal? Read my first paper to find out!!https://twitter.com/jdairyscience/status/1167538897313624064 …
Hvala. Twitter će to iskoristiti za poboljšanje vaše vremenske crte. PoništiPoništi -
Life is a game of prioritization.
Hvala. Twitter će to iskoristiti za poboljšanje vaše vremenske crte. PoništiPoništi
Čini se da učitavanje traje već neko vrijeme.
Twitter je možda preopterećen ili ima kratkotrajnih poteškoća u radu. Pokušajte ponovno ili potražite dodatne informacije u odjeljku Status Twittera.
Founder