Tweets
- Tweets, current page.
- Tweets & replies
- Media
You blocked @jakewins
Are you sure you want to view these Tweets? Viewing Tweets won't unblock @jakewins
-
jakewins Retweeted
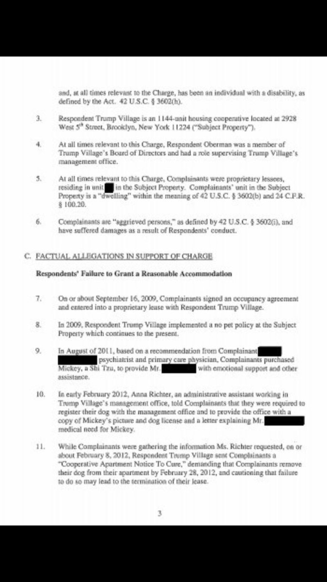
This Memorial Day please remember Donald Trump once evicted a disabled US Veteran because he had a therapy dog-court docs below.
#TrumpLeakspic.twitter.com/uFAi9T4aVI
Thanks. Twitter will use this to make your timeline better. Undo -
Grantmachine helped evaluate all open grants on https://grants.gov in <1hr, might be useful to you.https://github.com/jakewins/grantmachine …
Thanks. Twitter will use this to make your timeline better. Undo -
PSA: USGS will pay you to fly
#lidar-rigged#drone across all of US to refresh 1970's elevation data https://www.grants.gov/web/grants/view-opportunity.html?oppId=287349 …#GISThanks. Twitter will use this to make your timeline better. Undo -
jakewins Retweeted
I won't mince words: anyone who votes for a bill that'll lead to 50,000 deaths per year is clearly unfit to hold public office in America.
Thanks. Twitter will use this to make your timeline better. Undo -
jakewins Retweeted
This FBI Director has sought for years to jail me on account of my political activities. If I can oppose his firing, so can you.https://twitter.com/Snowden/status/862067649748119553 …
Thanks. Twitter will use this to make your timeline better. Undo -
jakewins Retweeted
If u cancel
@nytimes b/c of a columnist's views on climate change, you r cancelling on the finest team of climate reporters in the country.Thanks. Twitter will use this to make your timeline better. Undo -
Me: FAPWS3 has directory traversal vuln. Author: "All my fapws servers run in chroot. <closes issue>" https://github.com/william-os4y/fapws3/issues/38 …
#python#opsecThanks. Twitter will use this to make your timeline better. Undo -
jakewins Retweeted
Worm* brain visualiser, based on d3js, with data stored in Neo4j? https://elegans.herokuapp.com/about (*Caenorhabditis elegans)
Thanks. Twitter will use this to make your timeline better. Undo -
Pepper spraying elderly is abominable -
#trump supporters should be ashamed, stop blaming opposition when there is video evidence.#berkeleypic.twitter.com/lrrpIRTUkq
Thanks. Twitter will use this to make your timeline better. Undo -
List recent branches you used: git config --global alias.recent 'branch --sort=committerdate'
#gitThanks. Twitter will use this to make your timeline better. Undo -
#InfoWars deletes all#pizzagate content, claims it never promoted it. Real news retracts, doesn't delete record.https://mediamatters.org/blog/2017/02/24/infowars-denies-it-promoted-pizzagate-conspiracy-theory-after-deleting-pizzagate-content-its-website/215465 …Thanks. Twitter will use this to make your timeline better. Undo -
Resident in
#swedish "no-go" zone: "We've lived here 24 years, heard of one murder and this one time a kid used a really loud firecracker."https://twitter.com/Timcast/status/835631452435984384 …
Thanks. Twitter will use this to make your timeline better. Undo -
jakewins Retweeted
.
@realDonaldTrump They did. It wasn't.pic.twitter.com/xqt29RJPEr
Thanks. Twitter will use this to make your timeline better. Undo -
On the aftermath of Sweden taking 100K refugees from the Balkans in the 90s https://www.washingtonpost.com/news/global-opinions/wp/2017/02/24/the-truth-about-refugees-in-sweden/?utm_term=.12222c52469a …
#lastnightinswedenThanks. Twitter will use this to make your timeline better. Undo -
Peace, patience, persistence, respect, forgiveness and dignity. https://www.theatlantic.com/politics/archive/2017/02/rumana-ahmed-trump/517521/?utm_source=twb …
#indivisibleThanks. Twitter will use this to make your timeline better. Undo -
Daily reminder that the President does not believe in vaccines.https://twitter.com/realDonaldTrump/status/507158574670573568 …
Thanks. Twitter will use this to make your timeline better. Undo -
.. organize boycots of funding -
@AmerenMissouri, Orscheln for Vicky, Enterprise Rent-a-car and@EdwardJones for Blunt.Thanks. Twitter will use this to make your timeline better. Undo -
jakewins Retweeted
#columbiamo Join us tomorrow for a rally against the#muslimban. https://www.facebook.com/events/255091448260016/ …#como@CoMoProgressThanks. Twitter will use this to make your timeline better. Undo -
Thanks. Twitter will use this to make your timeline better. Undo
-
jakewins Retweeted
Airbnb CEO offers free housing to those affected by
#MuslimBan http://on.mash.to/2kfDOEh pic.twitter.com/51ZmEEVNG0
Thanks. Twitter will use this to make your timeline better. Undo
Loading seems to be taking a while.
Twitter may be over capacity or experiencing a momentary hiccup. Try again or visit Twitter Status for more information.