Tweets
- Tweets, current page.
- Tweets & replies
- Media
You blocked @jagalley
Are you sure you want to view these Tweets? Viewing Tweets won't unblock @jagalley
-
James Galley Retweeted
Hi, we are looking to hire summer interns. It's a paid placement and you'll earn enough to be able to live in London. Finance journalism experience is not necessary, we're looking for people who want to be top-class journos. https://www.bloomberg.com/company/career/news-emea/ …
#journalismjobs#journojobsShow this threadThanks. Twitter will use this to make your timeline better. UndoUndo -
James Galley Retweeted
The trade deal between the U.K. and the EU brings welcome relief to businesses. But there will still be significant changes in the new year https://trib.al/wjLKK0i pic.twitter.com/N84SPuWcJe
Thanks. Twitter will use this to make your timeline better. UndoUndo -
For more details Justin Fox
@bopinion had a great explanation back in April. (10/10)https://www.bloomberg.com/opinion/articles/2020-04-10/u-s-second-quarter-gdp-isn-t-really-shrinking-30-by-coronavirus?sref=7hdBdXQZ …Show this threadThanks. Twitter will use this to make your timeline better. UndoUndo -
What about the second quarter? How much would the U.K. economy have to contract to match annualized U.S estimates of -34.8%? It certainly doesn't have to fall 30% or more. It just has to fall 10%. (9/10)
Show this threadThanks. Twitter will use this to make your timeline better. UndoUndo -
Doing that to the U.K. data gives an annualized 1Q GDP of around -8.5%. The U.S. number might seem worse at first glance, but the U.K. economy actually shrank more in the quarter. (8/10)
Show this threadThanks. Twitter will use this to make your timeline better. UndoUndo -
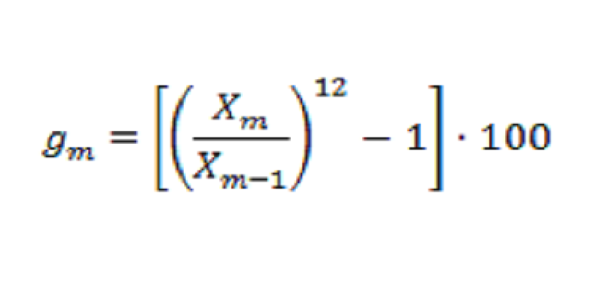
The Dallas Fed has a handy formula. You take the change, raise it to the 12th power (for monthly data) or the 4th power (for quarterly data). You then minus 1 and times by 100 to get the annualized percentage change. (7/10)pic.twitter.com/cLzqKiDaLr
Show this threadThanks. Twitter will use this to make your timeline better. UndoUndo -
It's clear what's going on when you compare it to U.K. GDP data. Let's look at the first quarter, as we have numbers for both countries. U.S. 1Q GDP (annualized) = -5.0% U.K. 1Q GDP (non-annualized) = -2.2% So which was worse? (6/10)
Show this threadThanks. Twitter will use this to make your timeline better. UndoUndo -
But it also makes the bad times seem even worse, and that is what's happening here. GDP hasn't fallen over 1/3 in three months, and the second quarter -- that saw the bulk of lockdowns in the U.S. -- is unlikely to be representative of the whole year. (5/10)
Show this threadThanks. Twitter will use this to make your timeline better. UndoUndo -
Annualizing makes the data easier to compare with annual GDP readings. It amplifies the numbers compared with non-annualized GDP readings, and can make the good times seem even better. (4/10)
Show this threadThanks. Twitter will use this to make your timeline better. UndoUndo -
The Dallas Fed provides a handy description: "Growth rates are adjusted to reflect the amount a variable would have changed over a year’s time, had it continued to grow at the given rate." https://www.dallasfed.org/research/basics/annualizing.aspx … (3/10)
Show this threadThanks. Twitter will use this to make your timeline better. UndoUndo -
Unlike most other countries, including the U.K., the U.S. annualizes its quarterly GDP data. Effectively, projecting what the annual rate would be if this particular quarter was representative of the whole year. (2/10)
Show this threadThanks. Twitter will use this to make your timeline better. UndoUndo -
U.S. quarterly GDP comes out tomorrow, and Bloomberg's survey of economists points to a reading of -34.8%. So does that mean the U.S. economy shrank by over a third in the second quarter alone? Well no. (1/10)
Show this threadThanks. Twitter will use this to make your timeline better. UndoUndo -
James Galley Retweeted
NEW
Working with the brilliant @joshrayman the Times interactive team have built a new#GE2019 map which shows the results of the past four elections, all on one map
. It reveals the striking changes that have occurred across the country since 2005
https://www.thetimes.co.uk/article/mapped-the-60-seats-that-always-back-the-election-winner-l3zjqjlb9 …pic.twitter.com/Om0yEbrqvFShow this threadThanks. Twitter will use this to make your timeline better. UndoUndo -
James Galley Retweeted
British-Iranian relations, going back to 1600s, are marked by periods of conflict, some resolved fairly swiftly, others endure to today. Iranians still blame Britain for a famine 100 years ago. Underlying it all is a sense the U.K. is playing a double gamehttps://www.bloomberg.com/news/articles/2019-07-20/history-of-bad-blood-with-u-k-and-iran-explains-current-tension …
Thanks. Twitter will use this to make your timeline better. UndoUndo -
James Galley Retweeted
This is the historic moment Neil Armstrong and Buzz Aldrin set foot on the moon for the very first timepic.twitter.com/AKE8Xwptpl
Thanks. Twitter will use this to make your timeline better. UndoUndo -
Half a century on from arguably one of the most important events in human history, we looked at how the space race has changed
#MoonLandinghttps://twitter.com/daniburgz/status/1152157484993392641 …
1:15Thanks. Twitter will use this to make your timeline better. UndoUndo -
James Galley Retweeted
“We choose to go to the moon in this decade, and do the other things, not because they are easy, but because they are hard.” Here's the moment John F. Kennedy gave his famous "Moon Speech" in 1962pic.twitter.com/TBn17mXEwg
Thanks. Twitter will use this to make your timeline better. UndoUndo -
It's 50 years since man first walked on the moon. @daniburgr looks at how the space race has changed in the last 5 decades
@BloombergTV#MoonLandingpic.twitter.com/xxhFozyp3sThanks. Twitter will use this to make your timeline better. UndoUndo -
James Galley Retweeted
For nearly a year now we've been talking about one-off factors driving the slowdown in the euro area... https://www.bloomberg.com/news/articles/2019-02-01/ecb-s-temporary-slowdown-narrative-approaches-one-year-mark …pic.twitter.com/8M75f4HNrU
Show this threadThanks. Twitter will use this to make your timeline better. UndoUndo -
James Galley Retweeted
Emerging market stocks are now less volatile than developed market stocks. (Even amid growth concerns!)pic.twitter.com/HAVBMBJT6b
Thanks. Twitter will use this to make your timeline better. UndoUndo
Loading seems to be taking a while.
Twitter may be over capacity or experiencing a momentary hiccup. Try again or visit Twitter Status for more information.