-
Trump suffers attack of
#Projectile#Liarrhea. "Cal Perry, NBC News correspondent, reports on the reaction by El Paso County Sheriff Richard Wiles to Donald Trump's reference to El Paso, Texas in advocating for his wall in his State of the... https://www.msnbc.com/rachel-maddow/watch/el-paso-sheriff-blasts-trump-s-false-narrative-on-border-crime-1437986883517 … -
#BreakingNews:
South Korean military says #NorthKorea has#fired an unidentified#projectile. pic.twitter.com/yAfqVtiFUY
Prikaži ovu nit -
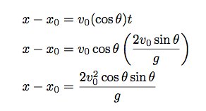
The max distance of a football can be found with the below equation as a function of the angle. Prove to yourself that 45 degrees is the optimal angle by plugging in values for theta.
#physics#science#kinematics#projectile#SuperBowl#SuperBowlLIV#SuperBowl2020pic.twitter.com/8snikrwxE0
-
Sweat projectile
.
.
.
.
.
: arckphoto / http://arckimages.com / http://uktennis.co.uk
.
.
.
.
.
.
.
.
#RafaNadal#RafaelNadal#nadal#sweat#projectile#trajectory#nothisday#thebetterplayerwins#quarterfinal#vamos… https://www.instagram.com/p/B76RVmHAUVi/?igshid=1dsoz9k7y3xg8 … -
Also made an beginning for a projectile and hit vfx :D
#VFX#Summon#effects#realtimevfx#unity#madewithunity#Impact#projectile pic.twitter.com/Mhmf2AirUO -
Projectile_FX_1 More FX practice, did this quick loop on my iPad...
#handdrawnfx#indiedev#projectile#2DFX#2DhanddrawnFX#indie#indiegamedev#animation#2danimation#animationforgames#2dfxanimation#spineanimation#mobilegames#videogameart#2Danimation#freelance#vfxpic.twitter.com/IgLL4cPWoz -
We look surprisingly well here. We weren’t two hours later.
#projectile https://twitter.com/tmsproducer/status/1212014130410000384 …
-
Hi guys It been so long since I last post an update of my game. I have been working on a line trajectory of projectile of the ball well it is working but it still cant be used
#godotengine#indiedev#IndieDevWorldOrder#indiedevhour#nigeria#projectile pic.twitter.com/acovcosCME -
GIVE AWAY ALERT! LIKE + RETWEET for a chance to get a FREE copy of VariaBULLET2D
#Unity3d asset package!!!#2d#pixelart#projectile#system#madewithunity#assetstore#gamedev#indiedev#IndieGameDevhttps://assetstore.unity.com/packages/templates/systems/variabullet2d-projectile-system-152528?aid=1101l87ig …Prikaži ovu nit -
The Uran-9 launch failure has been trending however this is not a failure and is a normal sequence of events with an RPO PDM Shmel-M (РПО ПДМ-А Шмель-М, lit. Bumblebee-M).
#ugv#unmanned#robotictank#robot#projectile#launch#Russiapic.twitter.com/eEbV3fvuq6
Prikaži ovu nit -
#NorthKorea fires 2 unidentified projectiles eastward:#SouthKorea#Projectile https://www.presstv.com/Detail/2019/11/28/612324/North-Korea-fire-missiles-South-Korea … -
Together with the
#animation this a a pretty cool effect.@unity3d#madewithunity#realtimevfx#fx#projectile#VFXFriday#unity3d#unity#gamedevhttps://twitter.com/OlgaAngelova/status/1195377976319365121 …
0:08 -
Excited about
#VFXFriday guy throwing some ice
@unity3d#madewithunity#realtimevfx#fx#projectile pic.twitter.com/UXZuX4amii -
15-year-old struck by
#projectile at#HongKongprotest in critical condition@realDonaldTrump@senatemajldr@marcorubio@SenatorRisch@SenSchumer@SenatorCardin@SenRickScott@SenatorMenendez@SenTedCruz@SenTomCotton@SenatorDurbin@Jkylebass@MischaEDMhttps://www.hongkongfp.com/2019/11/14/15-year-old-struck-projectile-hong-kong-protest-critical-condition/ … -
Sacha
#Sosno New Realist artist#minimalist#redarrow photo-lithograph#projectile https://etsy.me/2PeYrQ9@Etsy@RTFAMDNR@FatalRTs@SGH_RTs@FlyRts@SpxcRTs@AutoRtz@SympathyRTs#BooksArtPassio#art#artprints#etsyspecialT#shopvintage#wiseshopper#UKpub#artmarket#Nice06pic.twitter.com/Z0E8JESzEL
-
A new propulsion system
#missile is being design and produce by@Nammo that could send a#projectile to around 150km away.#Innovation by taking an existent idea. Check this Nammo video to learn morehttps://www.youtube.com/watch?v=0vIPNElDkns …Prikaži ovu nit -
#Nice - L'agent de la ville qui installe un dispositif anti-rats en bas d'un immeuble se fait fracasser le crâne par un#projectile lancé par des individus depuis le haut du bâtiment. https://www.nicematin.com/faits-divers/caillasse-un-agent-de-la-ville-de-nice-transporte-le-visage-en-sang-aux-urgences-412373 …pic.twitter.com/Smeh5Rwz9A
-
When I finally get a good image of one of those birds, in flight, no less…
#projectile#birdwatching#science#physics#STEM#bird#nature#photography#air#aerodynamics#Earth#planet#life#awesome#funnyhttps://spaceforscience.blog/2019/08/18/bird-in-flight/ …
Čini se da učitavanje traje već neko vrijeme.
Twitter je možda preopterećen ili ima kratkotrajnih poteškoća u radu. Pokušajte ponovno ili potražite dodatne informacije u odjeljku Status Twittera.