-
Toddlers rule the world, we are all just pawns
#preschool#problemsolving -
Great opportunity for Communities and another development within our great new NPT structure
#problemsolving#partnership#CommunityEngagementhttps://twitter.com/DyfedPowys/status/1224415242236637184 … -
“There’s been a murder!” P7s
@LangfauldsPS last week working together to solve the murder mystery

@TwinklScotland#teamworkmakesthedreamwork#problemsolving#twinklpic.twitter.com/yiv8hDVX7f
-
Students in Mrs. Parchinsky’s computer class coding aliens.
#edtech#problemsolving@Mr_MWentworth@GoshenCSD -
Today we are doing some VNPS problem solving in our Base Groups. The math talk is amazing as students try to solve these problems!
#problemsolving#stretchingourbrainspic.twitter.com/k6KQIy5VYX
-
If you want to help others then ask them the right questions. Don’t tell them what they should do. It will help them later in life to manage on their own and make better decisions.
#helping#problemsolving#leadership -
Had to use 2 “L’s” to make a “T”
#problemsolving#boosterthonkickoffpic.twitter.com/Y9Ox8JYTWJ
-
This boy was so pleased with himself
#finemotorskills#problemsolving#trailanderror#scmapic.twitter.com/pn5achIlmh -
#CriticalThinking - There is a wrong way to approach#ProblemSolving... pic.twitter.com/kjD4uKrBgg http://ow.ly/KeHk30q88EU
-
Tape headlights to the hood and fenders
#problemsolving#thinkoutsidetheboxhttps://twitter.com/CaleMcLean/status/1223634083550564353 …
-
This report focuses on the Car Sharing status, future forecast, growth opportunity.
#mrx#BusinessIntelligence#problemsolving Read More: http://bit.ly/2v2EVhr | Valuates Reportspic.twitter.com/WN6bXp6jsv
-
Enhancing independent provision within numeracy in Yr5
#enterprisingcreativecontributor#problemsolving pic.twitter.com/h9jLSoaSvV
-
I decided to put the wooden planks in a row with the wild animals having a separate plank.
#problemsolving#orderrecognitionpic.twitter.com/miMqxpxfKj
-
These brilliant kiddos used a variety of tools to solve their first ever decimal multiplication problem - with no explicit instruction needed. Guide on the side > sage on the stage any day!
#mathtoolkits#inquirymath#guideonthesideteaching#perseverance#problemsolving pic.twitter.com/kNh8QvX6wk
-
This is exactly me and my wife lmao
#problemsolving pic.twitter.com/2aVeXvPODG
-
Principles of Engineering
#Robotics and#coding C++ &#problemSolving pic.twitter.com/Nl9HmTI4ss
-
Lots of ‘big brain thinking’ going on in Year Three as we attempt to solve our maths challenges.
#problemsolving pic.twitter.com/PKvTMIv3dZ
-
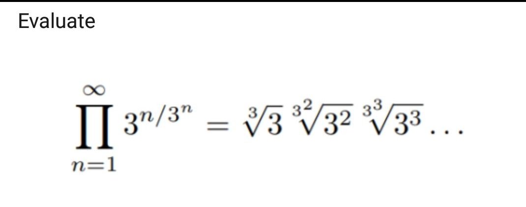
Question Number 3 - Easy evaluation
#maths#problemsolving pic.twitter.com/0mOvFSsCB0
-
Still celebrating
#NationalPuzzleDay today!#collaboration#problemsolving pic.twitter.com/aXgDi15nXD
-
Get to the root of the problem! Our Centre for People Development shows you how: JH: https://bit.ly/38FGRuQ | KW: https://bit.ly/37sURYR
#problemsolving#HHSCFPDpic.twitter.com/XpLC6J450d
Čini se da učitavanje traje već neko vrijeme.
Twitter je možda preopterećen ili ima kratkotrajnih poteškoća u radu. Pokušajte ponovno ili potražite dodatne informacije u odjeljku Status Twittera.

