-
#MDG Tech Community Conference in Boston#Neurological Diagnosis & Repair https://www.instagram.com/p/B8NQyzDn97u/?igshid=1mfe9hp0iwcka … -
Here's a very helpful "did you know" about
#PhysicalTherapy and#neurological issues. https://health.usnews.com/conditions/brain-disease/articles/how-to-treat-neurological-conditions-with-physical-therapy … -
Suicide risks are significantly increased in people with
#neurological disorders. http://ms.spr.ly/6012TZNBA pic.twitter.com/JrWg2t5m9b
-
#SJTREM#OpenAccess https://bit.ly/3aYcwtL Is therapeutic#hypothermia really associated with favorable#neurological#outcomes and#survival in adult#cardiacarrest patients?#FOAMed#BMC#EmergencyMedicine#Resuscitationpic.twitter.com/rb6WkhL1EK
-
#CODA#Biotherapeutics acquires#Attenua + clinical-stage assets vs#neuropathic#pain, focal#epilepsy & other#neurological conditions To advance leads using#GeneTherapy-mediated#chemogenetic platform https://www.codabiotherapeutics.com/platform#neurosciences#IonChannelspic.twitter.com/BOyAb5VRbC
-
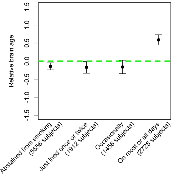
Relative
#Brain#Age is a#Health#metric quantifying degree of#neurological#aging based on whole-brain#anatomy#Research found daily or almost daily consumption of#tobacco &#alcohol were both significantly associated with increased#RBA via@Nature http://disq.us/t/3lqedif pic.twitter.com/l0DZWhAeqU
-
House reps are taling a lot about
#neurological implants and the human#genome project. Biomedical Science and the Department of Energy - House Hearing LIVE - https://youtu.be/sXyNJbebqic via@YouTube -
What Does Chocolate and Peanut Butter Have to Do with
#stroke? Find Out Here https://buff.ly/2FZpuJs#neurological pic.twitter.com/6xx0UE2gse
-
To address the receptor dysfunction associated with some
#neurological diseases, scientists have provided novel insights into a protein-protein interaction that could lead to more effective treatments. Click here to find out more: http://bit.ly/399vjQR pic.twitter.com/VmGidt5cGA
-
Your patient passed the stroke scale but may still be suffering a
#neurological emergency. What next?#EMS vet and@stahospital#paramedic instructor Bob Matoba recommends performing this 2- to 3-minute expanded assessment. https://buff.ly/399kqhW (via@EMSWorldFans)pic.twitter.com/aDRVeX4Zt7
-
@MikeBloomberg ...@realDonaldTrump is in a state of#neurological decline. The spasms, body jerks, word salad...why isnt anyone reporting on it.@POTUS is sick RT -
@realDonaldTrump is in a#neurological decline. Report on his health and spasms. -
#Neurological disorders are linked to elevated#suicide rates Mortality statistics doesn’t tell full story of a particular disease. @NINDSdirector @NIHDirectorhttps://medicalxpress.com/news/2020-02-neurological-disorders-linked-elevated-suicide.html … -
Eating
#organic food can lower the level of#pesticides/#herbicides by 89%: http://seattleorganicrestaurants.com/vegan-whole-food/eating-organic-foods-can-dramatically-reduce-pesticide-levels.php … Organophosphate#pesticides could interfere with healthy#neurological development causing… pic.twitter.com/hVS9SJcLYK
-
Paralysis sucks can't type well with left side

#fibromyalgia#ChronicPain#Neurological pic.twitter.com/vX6jdasnYl -
#Get best ayurvedic treatment for#Neurological disorders pic.twitter.com/JKgUqW5hwg
-
Don't even get me going - I have a
#neurological disability and people look at me like I'm crazy -
We have single sessions and intensive blocks of therapy available at the Centre. Find out how the Bobath approach helps people with
#cerebralpalsy and other#neurological conditions. To find out more about our therapy services click
https://www.bobath.org.uk/therapy/therapy-services …pic.twitter.com/f2VbW6iDTF
Čini se da učitavanje traje već neko vrijeme.
Twitter je možda preopterećen ili ima kratkotrajnih poteškoća u radu. Pokušajte ponovno ili potražite dodatne informacije u odjeljku Status Twittera.