-
Excited to hear about the impact of early adversity on brain development from Petra Huppi
#ParisMR18#neonatalmri pic.twitter.com/FphJ1xxC5H
-
Miracles can happen: This premature baby survived thanks to a "Sandwich Bag". Read more >> http://ow.ly/OoO050uf80y
#neonatalmri#mri#embracemri#neonatology -
Our second data release is live! 558 neonatal data sets
http://www.developingconnectome.org/second-data-release/ … #connectome#connectomics#functionalmri#neonatalmri#diffussion#braindevelopment#science#neonatalbrain -
"Toby coped with the scan really well and the care he received was absolutely brilliant" http://www.sth.nhs.uk/news/news?action=view&newsID=908 …
@SheffieldHosp#neonatalmri pic.twitter.com/ORLfaMOvHk
-
Miracles sometimes happen
Read this inspiring story of a #micro#preemie who just turned 21! http://ow.ly/Curv30l4lBk#neonatalmri#embracemri#newborn#NICU#niculife#aspectimagingpic.twitter.com/eFPEpShVBe
-
@Aspect Imaging gets FDA clearance for inside-NICU MRI http://on.mktw.net/2uDFlJt#neonates#babies#nicu#preterm#neonatalmri#neonatal -
Unfortunately the last day @PASMeeting2019! We look forward to meet you today and to talk about
#MRI for#neonates!#PAS2019#neonatalMRI#nomagICpic.twitter.com/nqLaWKMX3z
-
Fascinating article from Nature on the
#MRI brain mapping techniques behind the Developing Human Connectome Project (dHCP) https://go.nature.com/2MUjyGA Visit http://www.neonatalmri.com for more developments in#neonatalMRI technology -
See
#Aspect Imaging#Embrace#neonatalmri live on Worldwide Business with kathy ireland® on Fox Business Network as sponsored content TODAY Sun. Dec. 24 at 5:30pm EST and on Bloomberg International 7:30am GMT, 10:30am D.F. and 3:00pm HKT. pic.twitter.com/1eNaQFdj6B
-
Meet the experts regarding
#MRI and#Neonatology! Visit us at#Medica2019, Hall 10/ Booth A59! Our Team on-site would be glad to talk to you!#radiology#neonatalMRI pic.twitter.com/htz9uY084C
-
We’re looking for a new member to join our brilliant team...
MR Research Radiographer
Closing date: 27 June 2018
Salary: £33,518 - 44,992 p.a.
Apply: http://bit.ly/2kzUiFM
#radiographer#radiography#MRI#imaging#job#clinicalresearch#fetalmri#neonatalmri -
Good Morning! We are ready to start the first day at
#ECR2019! Meet us in X4 at booth 408 and learn more about our unique diagnostic system to examine#neonates very comfortable with#MRI!#Radiology#neonatalMRI pic.twitter.com/2Yp8o40cAW
-
#RSNA2018. Dr Andrew Lonergan of#AspectImaging demonstrating the#Embrace#NeonatalMRI System. Come visit us at Booth 2769, RSNA 2018 to find out about this groundbreaking#Neonatal#MRI – Inside the NICU!pic.twitter.com/ch6N3DeaFq
-
The quiet before the storm... Looking forward to see you soon! Meet us at
#RSNA18 at Booth 4952 and talk shop about#MRI examinations for#neonates and#premature infants.#radiology#pediatricradiology#neonatalMRI#RSNA2018pic.twitter.com/7AID0db6gm
-
#Lawrence is on sightseeing tour at#RSNA18 keeping an eye out for new#MRI Scanners to think about new compatibilities for our MR Diagnostics Incubator System#nomag IC...#Siemens#neonatalMRI pic.twitter.com/7RaGSVMKHe
-
FDA clears first neonatal magnetic resonance imaging device
#FDA#neonatalMRI#medicalimaging#cn1699news For more information, click link below.
https://buff.ly/2KUKwvC pic.twitter.com/GAqcga3GL2
-
http://www.developingconnectome.org/second-data-release/ …
#neonatal#mri#newborn#mri#neuroscience#neurodevelopment#connectomics#neonatalmri#developingbrain#developinghumanconnectome#humanbrain#braindevelopment#sciencetwitterhttps://twitter.com/KingsCollegeLon/status/1176161048929472516 … -
It'S HERE!


Check out our new Embrace® MRI website! Learn more about The New Neonatal MRI System for quality Imaging Inside the NICU, interesting facts & more!
https://www.embracemri.com/
#embracemri#neonatalmri#aspectimaging#NICUpic.twitter.com/BQsehQAzLG
-
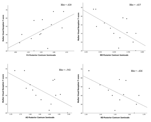
Online first: Neonatal diffusion tensor imaging and developmental outcomes https://journals.sagepub.com/doi/full/10.1177/0883073819841717 …
#NICU#neonatalneurology#neonatalMRI pic.twitter.com/w5EZMObXiC
Čini se da učitavanje traje već neko vrijeme.
Twitter je možda preopterećen ili ima kratkotrajnih poteškoća u radu. Pokušajte ponovno ili potražite dodatne informacije u odjeljku Status Twittera.