-
tantanfibopuzzle inspired by Kunle Adegoke.
#mathiratti#Fibonacci#Phibonaccipic.twitter.com/nsl1197coP
-
-
-
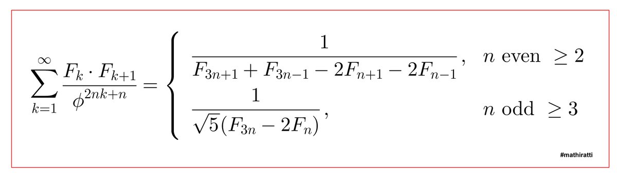
Fibonacci limit puzzle
#Fibonacci#mathiratti pic.twitter.com/Hhz1KziL79
-
The future of
Tennis. Leandro, Jérôme, Dominic ... and Roger. @atptour@ITF_Tennis@swiss_tennis@swisstennisplay@josemorgado@BenRothenberg@WeAreTennis@WilsonTennis@rogerfederer#mathiratti pic.twitter.com/L10ItxkAYO
-
#phi-puzzle inspired by@Pajoca_#mathiratti pic.twitter.com/yODErBBziQ
-
phi is all around
#phi#goldenratio#mathiratti pic.twitter.com/rUc7jKZIdy
-
-
If you search for
#mathiratti on Twitter, you'll find a number of interesting geometry gems. pic.twitter.com/wcLwyNCtoD
-
Η Μαγική ακολουθία του Φιμπονάτσι !
#phi#fibonacci#phibonacci#mathiratti. https://twitter.com/diegorattaggi/status/1209567791692632065 …
-
#mathiratti I think The above case could be explained as property of the triangle's excenters https://en.wikipedia.org/wiki/Incircle_and_excircles_of_a_triangle#Excircles_and_excenters … personally. Thanks to you, I came across an interesting problem of an attachment image. One jump ahead, Merry Christmas!
pic.twitter.com/sSBXWBBXt5
-
#mathiratti ってタグなかなか面白い
Čini se da učitavanje traje već neko vrijeme.
Twitter je možda preopterećen ili ima kratkotrajnih poteškoća u radu. Pokušajte ponovno ili potražite dodatne informacije u odjeljku Status Twittera.