-
Geometry Question & Solution

#Math#mathematics#question#solution#deaf#mathlover#tid#geometri#geometry#işitmeengelli#olympiad#mathceyhun pic.twitter.com/SDdCAGTSky
-
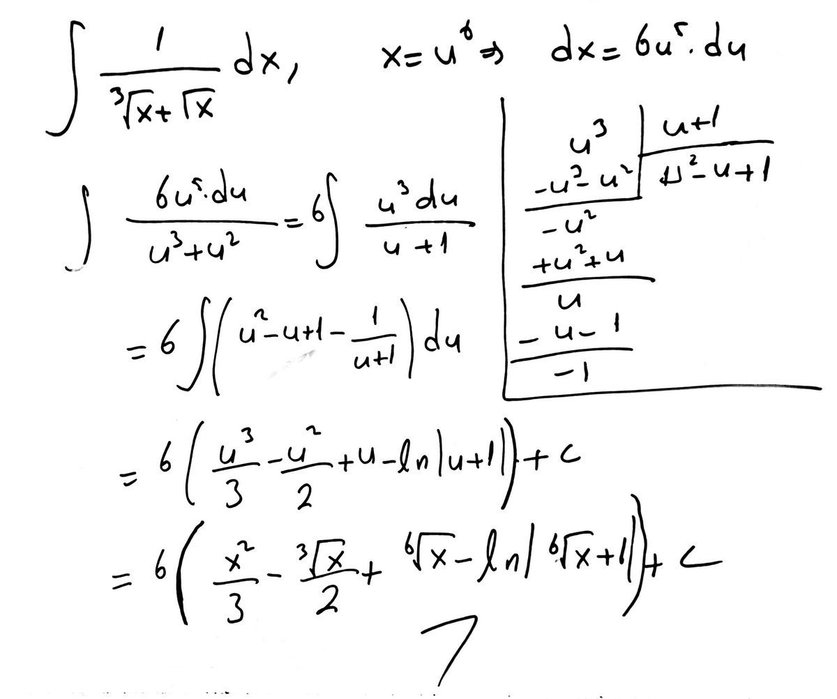
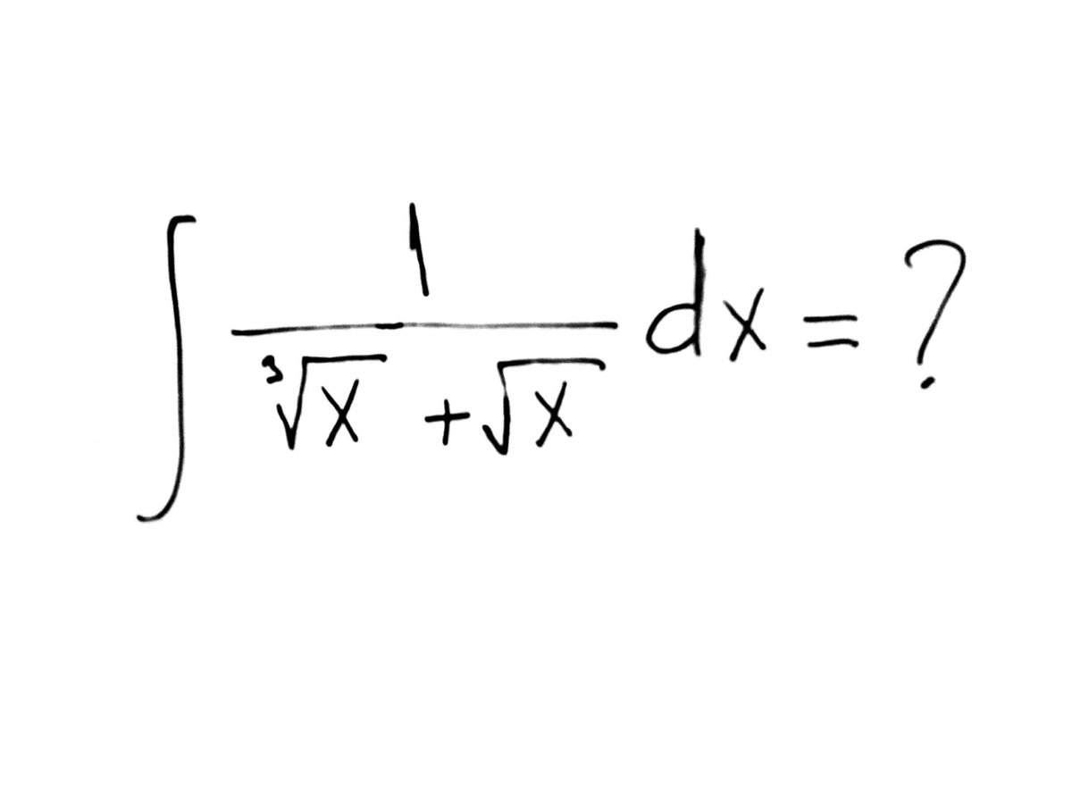
Integral severler burada

#integral#question#solution#math#mathceyhun#geometry#mathematics#deafpic.twitter.com/NcxSyL4BDW
-
Question #53 Yarıçapları reel sayıları ve x bir sabit sayıdır. x kaç birim olabilir ?
#mathematics#geometry#geometri#matematik#deaf#matematiksorusu#mathquestion#geometrisorusu#geometryquestion#mathceyhun pic.twitter.com/ViqsSWdsov
-
2^(cos^2(x))=√(2√2) denkleminin en küçük pozitif kökü kaçtır?
#Mathematics#mathematical#teachmath#math#mathematican#matematik#trigonometry#mathceyhun#eylemmath#математика#mathisfun
Čini se da učitavanje traje već neko vrijeme.
Twitter je možda preopterećen ili ima kratkotrajnih poteškoća u radu. Pokušajte ponovno ili potražite dodatne informacije u odjeljku Status Twittera.