-
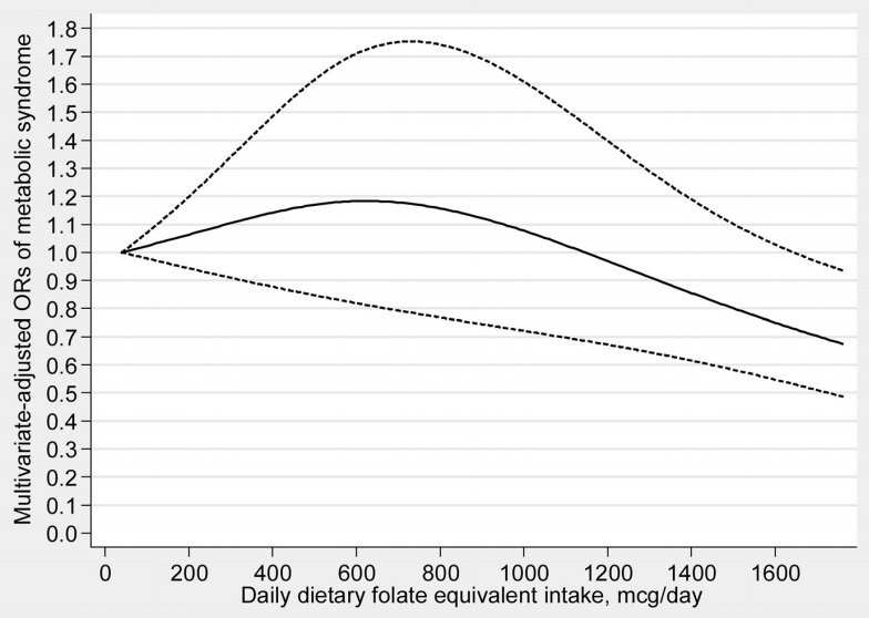
Associations of dietary vitamin B1, vitamin B2, niacin, vitamin B6, vitamin B12 and folate equivalent intakes with metabolic syndrome https://doi.org/10.1080/09637486.2020.1719390 …
#nutrition#diet#MetabolicSyndrome#obesity#InsulinResistance#BloodSugar#cholesterol#triglycerides#hypertensionpic.twitter.com/SkX8bDKNRm
Prikaži ovu nit -
Brutal...when are people going to wake up to the fact that this company and all its products are pure garbage?
#diabetes#insulinresistance#autoimmunehttps://twitter.com/KenDBerryMD/status/1224146565650055168 … -
Late breakfast yesterday.
#t1d#insulinresistance https://www.instagram.com/p/B8FjnKqhVE3/?igshid=9g3h7d90bfy1 … -
Very Happy & Lucky to Know Him! New Precious Book "Why We Get Sick" is now available for pre-order. All about
#insulinresistance (what it is, why it matters, and how to fight it)@BenBikmanPhD#MHS2020pic.twitter.com/rhzKaYOq5f
-
#Insulinresistance is the bodies inability to store glucose within the cell properly It is the result of years of spikes in sugar (glucose) The body’s stores (fat) are exhausted The body then makes more to cram that sugar into the cell...And the cycle repeats#SaturdayThoughtspic.twitter.com/wEnw7IiNQ7
-
Butter lettuce with Bernie’s and tahini derailing, Brazil nuts. Hot chocolate Digestive supplements, multivitamin, vitamin C, silver. No insulin, squats at 20 and 60.
#t1d#insulinresistance#reversingt1d https://www.instagram.com/p/B8Arex5h8uw/?igshid=1ppny33u7hqob … -
Taco bowl with pinto beans, apple, Keewee, more beans and real salt, digestive supplements, three units of insulin. starting blood glucose: 106 3 units insulin, air squats at 20, 40 mins
#t1d#insulinresistance… https://www.instagram.com/p/B79aghGB3XZ/?igshid=1e6zpgiinwcpp … -
Keep updated your knowledge on
#insulin action and#insulinresistance.Prikaži ovu nit -
@DoctorTro Why isn’t testing for#insulinresistance part of annual lab panels ordered by PCPs? -
it is becoming increasingly clear that
#SkinTags may have medical significance in terms of#InsulinResistance https://bit.ly/2Nm25Dq pic.twitter.com/vd4V5jzMt3
-
Interesting information on fructose and how it works in the human body.
#Unicity#insulinresistance https://twitter.com/BenBikmanPhD/status/1217536053117980672 …
-
Contains close to 6 teaspoons of
#sugar and net 27 grams of carbohydrates with zero grams of fiber Spikes blood glucose and releases insulin What are normal blood sugar levels? Normal blood sugar levels are less than 140 mg/dL two hours after eating#health#insulinresistance -
Added to the end of lunch: carrot, celery, apple, whole wheat pita with raw onion, sprouts, salt.
#t1d#insulinresistance https://www.instagram.com/p/B76xaixhu9Q/?igshid=nfembz99sj6b … -
Potato soup with a mix of veggies. starting blood glucose: 111 2 units insulin for this + air squats at 20, 40, and maybe 60 after eating.
#t1d#insulinresistance https://www.instagram.com/p/B76pjc8B_9f/?igshid=1dmtreuk9pmak … -
Oatmeal with hemp seeds, Chia seeds, flax seed. Starting blood glucose: 111 (fasting)
#t1d#insulinresistance https://www.instagram.com/p/B76OE-oBugd/?igshid=1lszyvq8nornt … -
More evidence (in addition to some from my lab two years ago) that
#insulin alone is enough to drive#insulinresistance in#muscle cells. One conclusion (for me): keep insulin low by limiting processed carbs. https://bit.ly/2O9V0J8 pic.twitter.com/94LPcBB3UT
-
Insulin resistance can go hand in hand with thyroid disease.
#ThyroidDisease#insulinResistance#hypothyroidismpic.twitter.com/MRxe1clcli
-
Potato soup with veggies and tofu, carrot, celery. Corn tortilla. Brazil nuts. Starting blood glucose: 81 2 units insulin, still seeing previous units having impact.
#t1d#insulinresistance https://www.instagram.com/p/B74mryJBjne/?igshid=18ck5pdmmyqv … -
Still feeling hungry. Ate some fruit and carrots. Starting blood glucose: 130 2 units insulin
#t1d#insulinresistance https://www.instagram.com/p/B74ZgnuBEbb/?igshid=1x08rwsd54e5v …
Čini se da učitavanje traje već neko vrijeme.
Twitter je možda preopterećen ili ima kratkotrajnih poteškoća u radu. Pokušajte ponovno ili potražite dodatne informacije u odjeljku Status Twittera.