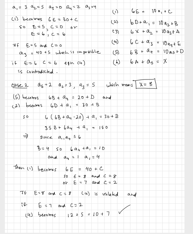
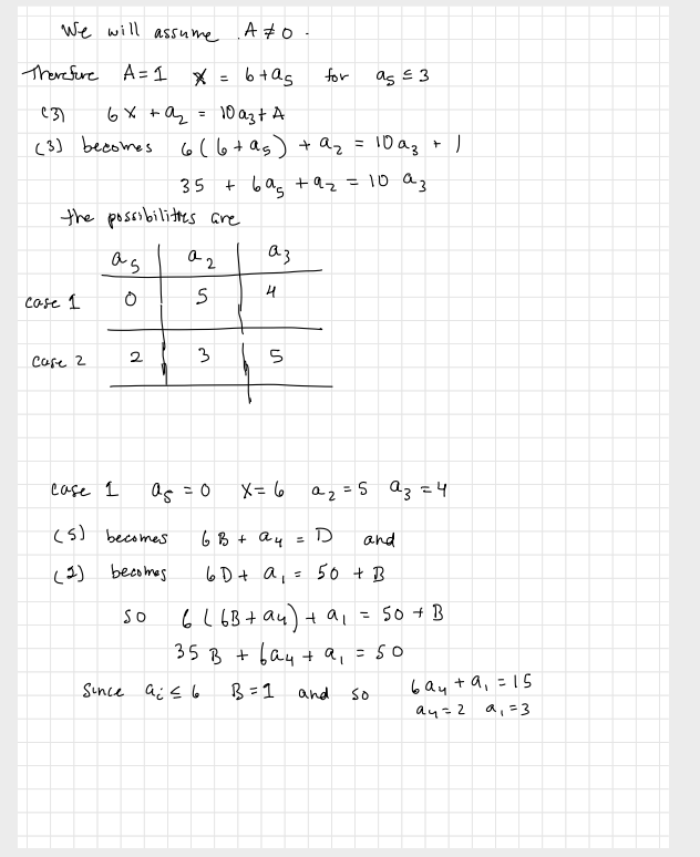
Rezultati pretraživanja
  1. 4. velj

    GREAT WOMAN OF MATHEMATICS: DR. GLADYS MAE WEST, born 1930. Pioneer responsible for the mathematics behind GPS. Growing up in rural Virginia, she saw how hard the lives of her parents, a tobacco farm and railroad worker, respectively, were and determined to find a way 1/8

    Prikaži ovu nit
  2. GREAT WOMAN OF MATHEMATICS: SOPHIE GERMAIN, 1776-1831. Marie-Sophie Germain was born in 1776 in Paris. During the French Revolution, she was confined to her home, for safety. She used the time to devour all the knowledge in her family's large library. The story of the 1/8

    Prikaži ovu nit
  3. Coming soon -- stories of the great women of mathematics. Follow me to hear some of the lesser-known stories of mathematical history!

  4. 29. lis 2019.
    Odgovor korisniku/ci

    Thank you for the ! I am going to use your series to further stoke my nine year old daughter's interest in mathematics. Random people appreciate your efforts! Keep up the good work!

  5. 5. stu 2012.
    Odgovor korisniku/ci

    Y would u want to? , you wouldn't pick us up a bottle of luco and something dripping in grease on the way back?

  6. 4. svi 2014.

    I know my relationship with Christ , and I know wat he has done for me. That is wat I live on.#GWOM#godwatchoverme...

  7. 5. ruj 2019.
    Odgovor korisniku/ci

    Should reference (Great Women of Mathematics) and her posts about women in the space program

  8. 9. sij

    project, but she wishes her solution to stay uncredited (pics). There was really excellent discussion as well as multiple computer-based solutions in the thread for yesterday's problem, so take a look if you want to know how to use a computer-based approach to solve it, or

    Prikaži ovu nit
  9. 25. pro 2011.
    Odgovor korisniku/ci

    Always and Forever

  10. 25. ruj 2019.

    I really enjoy reading all your tweets. I'm not a math person (BA in English), but I love reading your , because there's something universally inspiring about people who work hard, make a difference, believe in themselves, and live their passion. Thanks!

  11. 20. srp 2016.

    If you like comics,manga & erotic art please support my account on ! Please RT.

  12. 14. pro 2016.

    please join 's & my campaign for devan's new nickname i want him to tattoo it on his own face

  13. 16. stu 2013.

    Lord I really dedicate this right back to You. I thank You in advance, I love You. In Jesus name I pray, amen.

  14. 29. lis 2019.
    Odgovor korisnicima

    Then let me add to making your day. I LOVE your explorations as well. I've been studying the history and philosophy of mathematics for over 7 yrs, and when I discovered Emmy Noether, I was blown away and wanted to learn how many more women there were in Mathematics.

  15. 11. pro 2018.
    Odgovor korisnicima

    and stupid .... wall is a , gigantic waste of money

  16. 17. sij 2018.
    Odgovor korisniku/ci

    Yes it's absolutely delicious! Please check out then let us know if you're interested in any advertising. We're a local business boosting other local businesses.

  17. 26. velj 2014.

    I get chills everytime I think about the

  18. 2. stu 2019.
    Odgovor korisniku/ci

    Holly is awesome. I originally followed her because of the stuff she was posting. I had nooooooo idea about 'her' and how 'controversial' she was. 😁 Everyone should check out her series.

  19. 19. stu 2019.

    If you need a lift amidst all the bile on Twitter, I strongly suggest following this account. Some great and inspiring stories. HT

  20. 22. velj 2013.

    Hate driving in the rain!

Čini se da učitavanje traje već neko vrijeme.

Twitter je možda preopterećen ili ima kratkotrajnih poteškoća u radu. Pokušajte ponovno ili potražite dodatne informacije u odjeljku Status Twittera.