-
We agree
@IDstewardship - vanc dosing can be complicated and that's exactly why we're making it easier
#vancomycin#PKPD#DrugDosing#antibiotics#AntibioticResistancepic.twitter.com/AzH3A5ZlTm
-
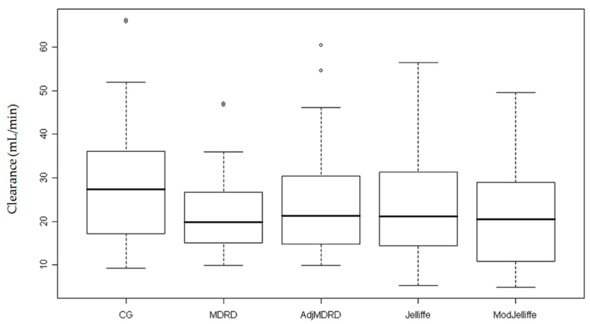
We published data from PICARD looking at different estimating equations and how they impact drug dosing. We need real time GFR in AKI!
#drugdosing#AKI@gchertow@ucsdnephrologyhttps://twitter.com/JCM_MDPI/status/1028938333508927488 …
-
Quite a controversial topic commonly encountered on my APPEs.. Enoxaparin in Extremes of Weight. Great review article but questions still remain: WEIGH in your thoughts, what is your strategy for dosing enoxaparin in obesity?
#pharmD#pharmacy#drugdosing https://journals.sagepub.com/doi/abs/10.1177/1060028018768449 … -
The completely revised version of our Pharmacopoeia
#MobileApp is now available! Download now for FREE http://ow.ly/M54QA#DrugDosing -
Great talk by Dr. Piet van der Graaf of
@Certara on the application of QSP in drug development to start#ASCPT2019 pre-conference.#pkpd#pbpk#qsp#drugdevelopment#modeling#experiments#integration#drugdosing -
#drugdosing is different for girls and boys according to NY Times article http://ow.ly/hrqCi -
Take advantage of 'dose banding' and use pre filled syringes for LMWH if available.
#caphocon16#oncology#drugdosing -
promising result of bioimpedance measurements as indicator of actual renal function in ICU patients independent of volume status.
#aki#ICU#renalfailure#drugdosing#bioimpendance@gelreziekenhuis https://www.ncbi.nlm.nih.gov/pubmed/31609770 pic.twitter.com/wd59vjH3Hr
-
There is no need for dosing adjustment when using amoxicillin + clavulanic acid in renal impaired patient.
#Pharmacy#DrugDosing -
NEW publication in
@PLOSONE by senior fellow Yuenting Diana Kwong on Kinetic GFR & medication dosing in acute kidney injury. Mentored by@LiuKD. Work supported by@NIDDKgov.#drugdosing#AKI https://journals.plos.org/plosone/article?id=10.1371/journal.pone.0225601#ack …pic.twitter.com/TERMtfBQzt
-
5 things to know about Aducanumab, Biogen’s resurrected Alzheimer’s drug - A clear argument for
#future#precisionmedicine strategies in#drugdevelopment to generate comprehensive and conclusive#BigDATA#drugdosing#precisiondiagnostics#deepphenotyping http://bit.ly/2oanqZN pic.twitter.com/qrDAYZyQcv
-
Yet again
#PYC at the centre of UK based#personalisedoncology#drugdosing -
3D-printed pills will provide the solution to one of medicine’s biggest issues
#PrecisionMedicine#3DPrinting#rheumatology#JIA#Drugdosing http://bit.ly/2BPCDTD pic.twitter.com/m53FxlP0JM
-
The new domain name drugdosing .com has been listed for sale at http://perfectdomain.com , buy it before its gone! click here: https://perfectdomain.com/domain/drugdosing.com …
#Drug#Sing#Drugdosing -
Predicting the need for a reduced drug dose, at first prescription
#PrecisionMedicine#drugdosing#diagnostics#healthcare#medicine#artificialintelligence#ai https://go.nature.com/2CIGIu0@Naturepic.twitter.com/yDuFAjeeoe
-
Glad to collaborate with
@iamahawkins and his crew on this work.@TTUHSCSOP@TTUHSC#obesity#drugdosing#dvtprophylaxishttps://twitter.com/iamahawkins/status/1054505065145192448 …
-
Creatinine-Based Renal Function Estimates and Dosage of Postoperative Pain Management for Elderly Acute Hip Fracture Patients http://www.mdpi.com/1424-8247/11/3/88 …
#PainManagement#drugdosing#clinicalpharmacypic.twitter.com/LAJypQznMw
-
Janssen seeks a split-dosing regimen for Darzalex from FDA and European regulators https://bit.ly/2ntpyI5
#myeloma#FDA#drugdosing pic.twitter.com/YOIVFqbYKJ
-
#OA article:#IndividualisedMedicine: why we need#Bayesian dosing (2017) http://bit.ly/2M7eLB7

#DrugDosing#medicine#patient#PatientOutcomes#openaccess#SelfArchiving#WileyBlackwellpic.twitter.com/yMSTRz4eZQ
Čini se da učitavanje traje već neko vrijeme.
Twitter je možda preopterećen ili ima kratkotrajnih poteškoća u radu. Pokušajte ponovno ili potražite dodatne informacije u odjeljku Status Twittera.