-
Osobe Vidi sve
-
Merger rate distribution of primordial black hole binaries with electric charges. (arXiv:2001.02984v2 [http://astro-ph.CO ] UPDATED) relevance:100% http://arxiv.org/abs/2001.02984
#darkmatter pic.twitter.com/AACEnFjMVd
-
Ugh.
@SYFY how could you let#darkmatter end like that ? You couldn’t let the story finish real quick? Do you care about fans? That is some cruel —

#syfy#tvcancellationssuck -
GRB lensing parallax: Closing primordial black hole dark matter mass window. (arXiv:1908.00078v2 [http://astro-ph.CO ] UPDATED) relevance:100% http://arxiv.org/abs/1908.00078
#darkmatter pic.twitter.com/i0iA4HsvEw
-
Weyl Symmetry Inspired Inflation and Dark Matter. (arXiv:1904.04493v3 [hep-ph] UPDATED) relevance:100% http://arxiv.org/abs/1904.04493
#darkmatter pic.twitter.com/7pF77NNLII
-
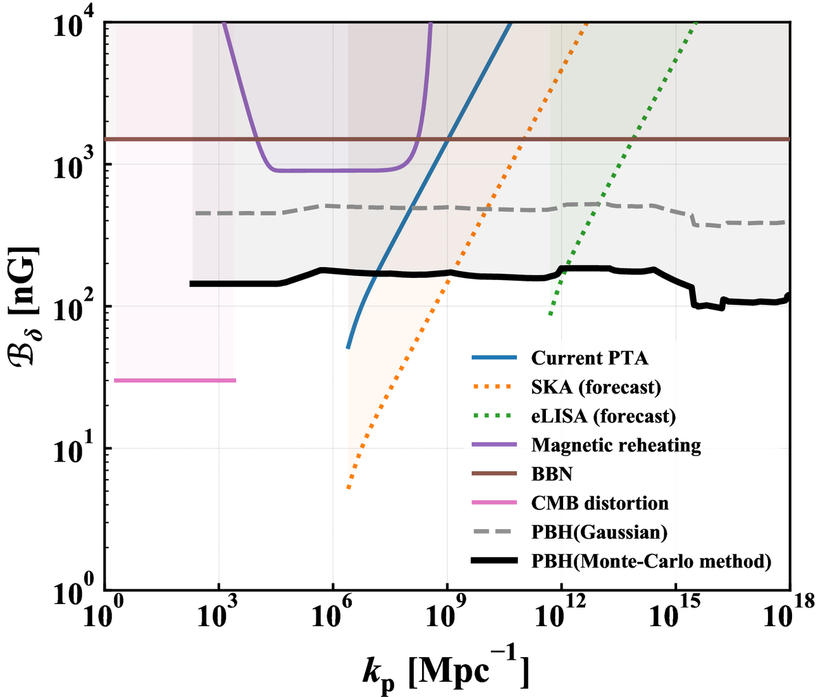
Limits on primordial magnetic fields from primordial black hole abundance. (arXiv:2002.01286v1 [http://astro-ph.CO ]) relevance:69% http://arxiv.org/abs/2002.01286
#darkmatter pic.twitter.com/8iXPiE0UeE
-
Detectability of nGauss primordial magnetic fields in the B-mode polarization of CMB. (arXiv:2002.01272v1 [http://astro-ph.CO ]) relevance:54% http://arxiv.org/abs/2002.01272
#darkmatter pic.twitter.com/I8U3lkPvZZ
-
Cosmological Signatures of Superheavy Dark Matter. (arXiv:2002.01131v1 [hep-ph]) relevance:100% http://arxiv.org/abs/2002.01131
#darkmatter pic.twitter.com/23W2zeiLS0
-
Omg
@KateDrummond_ was in#DarkMatter ... Canada really does have like 10 actors that consequently are in every show ... I kind of love it. -
The Birth of Binary Direct-Collapse Black Holes. (arXiv:2002.00983v1 [http://astro-ph.GA ]) relevance:53% http://arxiv.org/abs/2002.00983
#darkmatter pic.twitter.com/STV4WibZAE
-
Not getting a dr Shaw/ two kiss in
#DarkMatter sucks
-
Cosmic structures from a mathematical perspective 1. Dark matter halo mass density profiles. (arXiv:2002.00960v1 [http://astro-ph.CO ]) relevance:100% http://arxiv.org/abs/2002.00960
#darkmatter pic.twitter.com/rSszY7zjkS
-
#darkmatter doesn’t make sense a lot of times. Like is it just me or are there a lot of times where an episode plot or season plot feels like it skips/has holes/ doesn’t connect throughout ? I mean it’s still super fun so whatever. Just saying. -
Search for
$A'\!\to\!\mu^+\mu^-$ decays. (arXiv:1910.06926v2 [hep-ex] UPDATED) relevance:61% http://arxiv.org/abs/1910.06926#darkmatter pic.twitter.com/0heMxRsPUF
-
Search for long-lived particles in final states with displaced dimuon vertices in
$pp$ collisions at $\sqrt{s}=$ 13 TeV with the ATLAS detector. (arXi... relevance:73% http://arxiv.org/abs/1808.03057#darkmatter@ATLASexperimentpic.twitter.com/XePWuxpKry
-
GRAMSES: a new route to general relativistic
$N$-body simulations in cosmology. Part I. Methodology and code description. (arXiv:1905.08890v2 [astro-p... relevance:46% http://arxiv.org/abs/1905.08890#darkmatter pic.twitter.com/Kaw50WTrLy
-
I really hate how awful four / ryo is
#DarkMatter -
I want to see
#darkmatter series merchandise at Walmart Pickup. Tap below to Tweet &@Walmart will show you what happened to our associates after they met the#FamousVisitors
@BaronDestructopic.twitter.com/DUWx6ZC9tJ -
#DarkMatter#OneDay someday, somehow, I still hope we'll come to know the story arcs of our#RazaCrew#ItsARealFanThing innit
pic.twitter.com/9w3fsweEgu
-
#365DaysChallenge (Fictional character from tv/movie I love) Day 32: Two (and only Two
), #DarkMatter, portrayed by Melissa O'Neil. pic.twitter.com/zuJTU2uUIsPrikaži ovu nit -
This is such a brilliant sequence!!!
#DarkMatter innit
https://twitter.com/Irena_SG/status/1223917306037915649 …
Čini se da učitavanje traje već neko vrijeme.
Twitter je možda preopterećen ili ima kratkotrajnih poteškoća u radu. Pokušajte ponovno ili potražite dodatne informacije u odjeljku Status Twittera.