-
Multi-omics profiling of mouse
#gastrulation at#SingleCell resolution. Exit from pluripotency coincides with the establishment of a global repressive epigenetic landscape https://buff.ly/2PpsKDv@nature#UsingEnsembl#CitedEnsembl@RArgelaguet@OliverStegle@MarioniLab@ReikLabpic.twitter.com/RuWh3mG7ZT
-
#Transcriptomic and open chromatin atlas of high-resolution anatomical regions in the#rhesus macaque#brain: almost 10,000 novel intergenic transcripts!
@NatureComms https://buff.ly/2O7KTod#UsingEnsembl#UsingBioMart#CitedEnsembl pic.twitter.com/xFNRlcG2oR
-
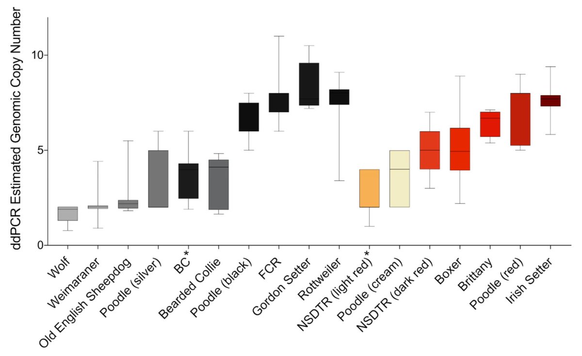
Pigment intensity in
#dogs is associated with a 6kb copy number variant upstream of KITLG

@Genes_MDPI#VEP#UsingEnsembl#CitedEnsembl https://buff.ly/2u05nIk pic.twitter.com/qAeXcJMdjB
-
Using transient transcriptome
#sequencing (TT-seq) with a new chemical approach for#RNA fragmentation for profiling nascent#transcription and measuring transcript elongation.@NatureProtocols#UsingEnsembl#CitedEnsembl pic.twitter.com/yA0OQaeB5p
-
22 candidate
#genes associated with feeding behaviour in#cows
. Check out this new #GWAS for#behavior traits in diverse European#cattle: https://buff.ly/2oGDrqq@PLOSONE#CitedEnsembl#UsingEnsemblpic.twitter.com/jb9kJTGK3w
-
Analysis of
#PolygenicScores for rare genetic disorders, incl: 4x sex-chromosome#aneuploidy 2x CNV#MC4R deficiency familial#hypercholesterolemia &#hypobetalipoproteinemia#CitedEnsembl#VEP@NatureComms https://buff.ly/2JBcsUH pic.twitter.com/72l3wZ59QU
-
Reference genomes can be important for
#conservation efforts! E.g. that of the Tasmanian Devil - a species threatened by#DFTD:@Genes_MDPI https://buff.ly/2purV1V Genome: https://buff.ly/2JztD8O#tasdevil#tassiedevil#CitedEnsembl pic.twitter.com/vssS7vpduC
-
RT
@ensembl:#Museum#epigenomics - studying changes in#DNAmethylation &#ecological range over time, with ~80 year old deer#mouse skulls
! #CitedEnsembl#ancientDNA@tricia_rubi https://buff.ly/2DUIecb https://buff.ly/2PTdAF1 -
#CANTATAdb 2.0: Update to#openaccess database for#plant
long non-coding RNAs #lncRNAs. Publication:https://buff.ly/2U8w5pm Database: https://buff.ly/2U4aT3X#CitedEnsembl pic.twitter.com/vJpKQLYAev
-
#Drought stress &#ABA response regulated by a#histone deacetylase gene bdHD1 in#Brachypodium distachyon. Overexpression of dbHD1 decreases H3K9ac - leading to ABA hypersensitivity & enhances#drought tolerance.#epigenomics#CitedEnsembl https://buff.ly/2TvAa6L pic.twitter.com/kbn2PZpZ1p
-
New
#haplotype-phased genome assembly for#rust#fungus &#wheat#pathogen,#Puccinia striiformis f. sp. tritici revealing high diversity of#effector genes & significant differences to the#haploid genome assembly.#CitedEnsembl#fungi https://buff.ly/2Q7iodg pic.twitter.com/uKe5P7K7eG
Čini se da učitavanje traje već neko vrijeme.
Twitter je možda preopterećen ili ima kratkotrajnih poteškoća u radu. Pokušajte ponovno ili potražite dodatne informacije u odjeljku Status Twittera.