-
Our paper is finally online https://rdcu.be/bJgJK : We found that
#autistic individuals who are carriers of rare clinically significant (and large >500kb)#CNVs did not improve as much as non-carriers after social skills group training@SciReports 1/5pic.twitter.com/BFy5JzLaal
Prikaži ovu nit -
Just out in preprint, our latest study : Copy number variants outperform SNPs to reveal genotype-temperature association in a marine species. Get CNVs info through RADseq data
#CNVs#RADseq#genomics@LaboBernatchez https://www.biorxiv.org/content/10.1101/2020.01.28.923490v1 …pic.twitter.com/KjpnnMqHhk
-
Provocative study from
@jgi in@nature highlights complexities of "noncoding" variants... Clustered "noncoding"#CNVs in a severe pediatric GI disease actually delete TSS of an unannotated gene, likely protein-coding! Mouse models support pathogenicity https://www.nature.com/articles/s41586-019-1312-2 …pic.twitter.com/B9URgrRY3q
Prikaži ovu nit -
“It is important to recognize that no singular algorithm will apply in all scenarios…professional judgment should always be used when evaluating evidence & assigning a classification” in new Standards for Interpreting/Reporting
#CNVs ACMG@ClinGenResourcehttps://go.nature.com/2CjrvhO -
Our new preprint where we integrated data from
#UKBB,#EstonianBiobank, clinical cohorts and animal models to characterized so far overlooked association between the#16p11.2#CNVs and reproductive traits. https://twitter.com/biorxiv_genomic/status/1154893799979716609 …Prikaži ovu nit -
And last in our
#molecular lightning talk series on#CNVs from@nyuniversity at#epicphilly2018 is Pieter Spealman, talking about the kinds of CNVs identified using#barcoding.#evolutionpic.twitter.com/mHh8nnxji6
-
-
#mindds#network wishes u all#HappyHoliday





se look forward to #connect w u n#collaborate#together to#impact the#Neurodevelopmental#disorders n#help#patients!#science#research#science#scicomm#eu#scientist#diagnosis#cnvs#chromosome#22q#22qsyndromepic.twitter.com/68siWDEU9d
-
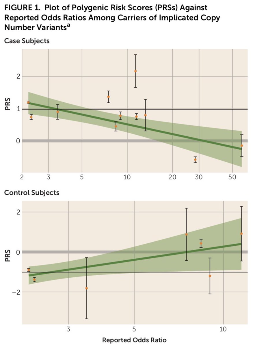
Polygenic risk scores and large effect
#CNVs show additive & interactive effects on genetic risk for#schizophrenia: balance of common and rare variant effects to reach illness threshold.Sarah Bergen@sebatlab@danhowrigan@PGCgenetics@ISPGnet@bmneale https://www.ncbi.nlm.nih.gov/pubmed/30392412 pic.twitter.com/qTlwMZumoB
-
Really happy to present our recent work with
@proukakis from my time in#UCL@ucl about#singlecell#genomics#neurodegenaration#CNVs#geneticvariaton#mosaicism in the#EMBLPhdSymposium.#conferences#postersession#FacetheFuture#PhDLifepic.twitter.com/0gBN8U604x
-
Do you want to detect
#CNVs using#GBS data? Please look our latest publication, a method to screen populations for CNV using GBS.#Genomics#Bioinformatics#DataMining@BMC@ibis_laval@ClubBioinfoIBIS https://bmcgenomics.biomedcentral.com/articles/10.1186/s12864-019-5998-1 …pic.twitter.com/HJCJh1ddfv
-
#TrainingSchool organized by some#friends@LabPapaleo@MinddsAction@cardiffuni @HaifaUniversity@IITalk 4#PhD#students#postdocs on#CNVs n#neurodevelopment#disease in#animal n#human#models!#translational#research#science#phenotype#training#genetics#genespic.twitter.com/blMTAvdikC
-
Stay up-to-date on what's happening this week at
#CNVS pic.twitter.com/dzAa83i1hA
-
#mindds#workshop in#Porto
do u want to know what we r talking abt? #staytuned!!!@22Q11_Ireland@CDG_Portugal@DrPas84Ele#genetics#science#scicomm#research#neurodevelopment#brain#neuroscience#cnvs#costactionpic.twitter.com/8oOUDWJw8a
-
REQUITE Report on SNP selection online! To report on the genotyping undertaken of blood samples collected in the observational study and processed by the CIGMR biobank. see:https://www.requite.eu/node/199
#SNPs#CNVs#RadiotherapyToxicity#PredictionModels. -
#iCUDN Presenter Matt Holt: “#Clinicians should know that through existing#WGS, we can really detect a wide variety of#genetic abnormalities—not just#SNVs but#CNVs and structural#variation—that can shed light on#disease etiology.”#goscience
pic.twitter.com/pg7YloC5VA
-
Large multiallelic copy number variations in humans
#CNVs https://www.nature.com/ng/journal/v47/n3/full/ng.3200.html … -
Participants who register for the ClinGen CNV Technical Standards web series by tomorrow 12/19 will have the opportunity to participate in an optional pre-/post-series evaluation http://bit.ly/CNVregister
#CNVs#medicaleducation#GCchat@TheACMGpic.twitter.com/yxq5wM8wTe
Čini se da učitavanje traje već neko vrijeme.
Twitter je možda preopterećen ili ima kratkotrajnih poteškoća u radu. Pokušajte ponovno ili potražite dodatne informacije u odjeljku Status Twittera.