Tweetovi
- Tweetovi, trenutna stranica.
- Tweetovi i odgovori
- Medijski sadržaj
Blokirali ste korisnika/cu @gabrielpeyre
Jeste li sigurni da želite vidjeti te tweetove? Time nećete deblokirati korisnika/cu @gabrielpeyre
-
Prikvačeni tweet
Computational Optimal Transport: the book. All you ever wanted to know about OT: theoretical insights, algorithms and applications! http://optimaltransport.github.io pic.twitter.com/9HvITBZHlT
Prikaži ovu nitHvala. Twitter će to iskoristiti za poboljšanje vaše vremenske crte. PoništiPoništi -
Gabriel Peyré proslijedio/la je Tweet
Enthusiastically opening Postdoc and PhD positions at
@Biologie_ENS@ENS_ULM in collaboration with@gabrielpeyre@jeanphi_vert on single-cell multi-omics integration. Looking forward to your application! https://drive.google.com/open?id=1MXQT8M09uoT5TNh5jfvNLzsrltR0b1H2 … https://drive.google.com/file/d/1ncsrA3vUBq-7ThLarxVJiCzV7BBXdjXO/view?usp=sharing …Hvala. Twitter će to iskoristiti za poboljšanje vaše vremenske crte. PoništiPoništi -
The first Prairie Colloquium will take place next Wednesday 12:00
@inria_paris! Jean François Cardoso will speak about « Information geometry of Independent Component Analysis ». https://prairie-institute.fr/evenement/colloquium-prairie/ …pic.twitter.com/YdBBFl11ur
Hvala. Twitter će to iskoristiti za poboljšanje vaše vremenske crte. PoništiPoništi -
Oldies but goldies: G. H. Golub, Christian Reinsch, Singular value decomposition and least squares solutions, 1970. The most popular algorithm to compute efficiently the SVD decomposition. https://en.wikipedia.org/wiki/Singular_value_decomposition …pic.twitter.com/esxUfkpbiZ
Hvala. Twitter će to iskoristiti za poboljšanje vaše vremenske crte. PoništiPoništi -
Fixed points can be attractive or repulsive depending on the derivative of the map. https://en.wikipedia.org/wiki/Fixed_point_(mathematics) …pic.twitter.com/6EDAqhVESI
Hvala. Twitter će to iskoristiti za poboljšanje vaše vremenske crte. PoništiPoništi -
Gabriel Peyré proslijedio/la je Tweet
35 years ago today, Richard Feynman's paper "Quantum Mechanical Computers" was published in 𝘖𝘱𝘵𝘪𝘤𝘴 𝘕𝘦𝘸𝘴. I think he'd be surprised and gratified to see everything that his original idea has led to.
Hvala. Twitter će to iskoristiti za poboljšanje vaše vremenske crte. PoništiPoništi -
Gabriel Peyré proslijedio/la je Tweet
"So I have decided to stop attempting to generate new mathematics, and concentrate instead on carefully checking “known” mathematics on a computer." http://www.andrew.cmu.edu/user/avigad/meetings/fomm2020/slides/fomm_buzzard.pdf …
Hvala. Twitter će to iskoristiti za poboljšanje vaše vremenske crte. PoništiPoništi -
Oldies but goldies: S Varadhan, On the behavior of the fundamental solution of the heat equation with variable coefficients, 1967. Shows that the heat kernel on a manifold is approximately a geodesic Gaussian kernel for small time. http://onlinelibrary.wiley.com/doi/10.1002/cpa.3160200210/abstract …pic.twitter.com/1us5dLORan
Hvala. Twitter će to iskoristiti za poboljšanje vaše vremenske crte. PoništiPoništi -
Gabriel Peyré proslijedio/la je Tweet
Interested in the mathematics and numerics of granular media? Together with colleagues from Imperial College and Purdue, we've written a new review, 20 years after the one of
@VillaniCedric! Go check it out: http://arxiv.org/abs/2001.11206Prikaži ovu nitHvala. Twitter će to iskoristiti za poboljšanje vaše vremenske crte. PoništiPoništi -
Parametric density fitting is a parameter estimation problem aiming at registering a template distribution to samples. https://en.wikipedia.org/wiki/Probability_distribution_fitting … https://en.wikipedia.org/wiki/Density_estimation …pic.twitter.com/QFtfbBHUAc
Hvala. Twitter će to iskoristiti za poboljšanje vaše vremenske crte. PoništiPoništi -
Gabriel Peyré proslijedio/la je TweetHvala. Twitter će to iskoristiti za poboljšanje vaše vremenske crte. PoništiPoništi
-
Oldies but goldies: Naum Z. Shor, Utilization of the operation of space dilatation in the minimization of convex functions, 1972. Introduces the ellipsoid method, which was later shown to provide polynomial time algorithm for linear programming. https://en.wikipedia.org/wiki/Ellipsoid_method …pic.twitter.com/5P9Pb3MrB1
Hvala. Twitter će to iskoristiti za poboljšanje vaše vremenske crte. PoništiPoništi -
Gabriel Peyré proslijedio/la je Tweet
Since I was tweeting images of Mandelbrot set yesterday and my interest in the subject was renewed, let me show this and explain what it's about (
). •1/11pic.twitter.com/XK4gN8gBd2
Prikaži ovu nitHvala. Twitter će to iskoristiti za poboljšanje vaše vremenske crte. PoništiPoništi -
Gabriel Peyré proslijedio/la je Tweet
A while ago, I wrote a 1-page description of the Harris-Stephens corner detection: Independent of rotation or shift and of affine change of intensityhttps://www.researchgate.net/publication/251304114_Harris-Stephens%27_combined_corneredge_detector …
Hvala. Twitter će to iskoristiti za poboljšanje vaše vremenske crte. PoništiPoništi -
Gabriel Peyré proslijedio/la je Tweet
I guess, this goes back to Fenchel's lecture notes from 1951. I wrote a mathoverflow answer some time ago:https://mathoverflow.net/questions/262851/why-are-gamma-0-functions-called-this/262861#262861 …
Hvala. Twitter će to iskoristiti za poboljšanje vaše vremenske crte. PoništiPoništi -
Harris’s methods is the most frequently used corner detector, based on the eigenvalues of the structure tensor. https://en.wikipedia.org/wiki/Harris_Corner_Detector …pic.twitter.com/qd5apj4UaQ
Hvala. Twitter će to iskoristiti za poboljšanje vaše vremenske crte. PoništiPoništi -
Hvala. Twitter će to iskoristiti za poboljšanje vaše vremenske crte. PoništiPoništi
-
Gabriel Peyré proslijedio/la je Tweet
ABC in Grenoble
, March 19-20: please spread the word by sharing this poster!
pdf at: https://tinyurl.com/w7dlw5x
workshop site: https://sites.google.com/view/abc-in-grenoble/home …pic.twitter.com/obr1zrLT4b
Hvala. Twitter će to iskoristiti za poboljšanje vaše vremenske crte. PoništiPoništi -
Oldies but goldies: MacAdam, Visual sensitivities to color differences in daylight, 1942. Showed that color perception can be modelled using an anisotropic metric. https://en.wikipedia.org/wiki/MacAdam_ellipse …pic.twitter.com/2qpY16jPZC
Hvala. Twitter će to iskoristiti za poboljšanje vaše vremenske crte. PoništiPoništi -
Gabriel Peyré proslijedio/la je Tweet
The Mandelbrot set approximated by the 4096 first Fourier coefficients of its boundary (it would be nice to superimpose over a classical view but I don't know how to get Sage to align its coordinates exactly):pic.twitter.com/EOE5UlmBAN
Prikaži ovu nitHvala. Twitter će to iskoristiti za poboljšanje vaše vremenske crte. PoništiPoništi -
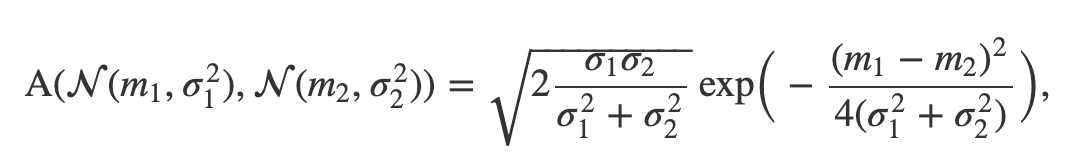
About the Hellinger distance by Djalil Chafai http://djalil.chafai.net/blog/2020/01/22/about-the-hellinger-distance/ …pic.twitter.com/1kkwtd25fv
Hvala. Twitter će to iskoristiti za poboljšanje vaše vremenske crte. PoništiPoništi
Čini se da učitavanje traje već neko vrijeme.
Twitter je možda preopterećen ili ima kratkotrajnih poteškoća u radu. Pokušajte ponovno ili potražite dodatne informacije u odjeljku Status Twittera.