Tweetovi
- Tweetovi, trenutna stranica.
- Tweetovi i odgovori
- Medijski sadržaj
Blokirali ste korisnika/cu @ftzo
Jeste li sigurni da želite vidjeti te tweetove? Time nećete deblokirati korisnika/cu @ftzo
-
Prikvačeni tweetHvala. Twitter će to iskoristiti za poboljšanje vaše vremenske crte. PoništiPoništi
-
Pyro 1.2 release adds poutine.reparam to rewrite models to improve geometry via: - neural transport - discrete cosine transform - auxiliary variable methods for Levy Stable distributions - conditional Gaussian HMMs - decentering - transform unwrappinghttps://github.com/pyro-ppl/pyro/releases/tag/1.2.0 …
Hvala. Twitter će to iskoristiti za poboljšanje vaše vremenske crte. PoništiPoništi -
Fritz Obermeyer proslijedio/la je Tweet
I running a 60-minute webinar blitz on causal modeling in machine learning code examples THIS Thursday. Ideal for applied
#DataScience and#MachineLearning practitioners interested in connections between dense causal inference lit and ML tools practice. https://altdeep.lpages.co/causal-modeling-in-ml-webinar/ …pic.twitter.com/VTMljYJcUY
Hvala. Twitter će to iskoristiti za poboljšanje vaše vremenske crte. PoništiPoništi -
This is a great idea! We just added it to Pyro as a poutine.reparam effect. First use case was an auxiliary variable reparameterization for the Levy stable distribution, where .log_prob() is not analytic. http://docs.pyro.ai/en/latest/poutine.html#pyro.poutine.handlers.reparam …https://twitter.com/migorinova/status/1138093627954126851 …
Hvala. Twitter će to iskoristiti za poboljšanje vaše vremenske crte. PoništiPoništi -
Fritz Obermeyer proslijedio/la je Tweet
Reweighted wake-sleep is now in Pyro :)https://twitter.com/ftzo/status/1203142968409903104 …
Hvala. Twitter će to iskoristiti za poboljšanje vaše vremenske crte. PoništiPoništi -
Pyro 1.1.0 is released: three new inference algorithms, a pyro.deterministic() primitive, new heavy-tailed distributions, Causal Effect VAEs, and easier ways to make PyroModules. Thanks to Siddharth Narayanaswamy, Tuan Anh Le, and other contributors!https://github.com/pyro-ppl/pyro/releases/tag/1.1.0 …
Hvala. Twitter će to iskoristiti za poboljšanje vaše vremenske crte. PoništiPoništi -
Pyro 1.0 is released: stable APIs, a jit-compatible Predictive helper, new normalizing flows, parallel-scan GPs and state space models, more-automatic AutoGuides, an OED tutorial, FoldedDistribution, and PyroModule[-] to make your nn.Modules Bayesianhttps://github.com/pyro-ppl/pyro/releases/tag/1.0.0 …
Hvala. Twitter će to iskoristiti za poboljšanje vaše vremenske crte. PoništiPoništi -
Fritz Obermeyer proslijedio/la je Tweet
Just having fun using NumPyro and JAX to do inference for ODE parameters - this finishes the translation of
@rlmcelreath's Statistical Rethinking 2nd ed. book (latest draft version) to NumPyrohttps://fehiepsi.github.io/rethinking-numpyro/16-generalized-linear-madness.html#Code-16.18 …Prikaži ovu nitHvala. Twitter će to iskoristiti za poboljšanje vaše vremenske crte. PoništiPoništi -
We'd love feedback on the initial release of Funsor, a tensor-like library for functions and distributions. Possibly "Distributions 2.0". We use it with Pyro, but it's also fun for stand-alone Gaussian computations. code: https://github.com/pyro-ppl/funsor paper: https://arxiv.org/abs/1910.10775
Hvala. Twitter će to iskoristiti za poboljšanje vaše vremenske crte. PoništiPoništi -
Pyro 0.5 is released: pyro.factor statement, conditional MADE autoregressive nn, OED tutorial, kl_divergence for Independent & Delta, CRPS to calibrate sample sets, moved pyro.generic to a new package pyro-api, reorganized pyro.distributionshttps://github.com/pyro-ppl/pyro/releases/tag/0.5.0 …
Hvala. Twitter će to iskoristiti za poboljšanje vaše vremenske crte. PoništiPoništi -
How can I determine who the clever lawyer was behind Zappos' class action case, which concluded in Zappos being forced to offer a limited-time 10% discount coupon to customers whose data had been leaked —a gov-endorsed coupon that bypasses spam filters? http://cdn.ca9.uscourts.gov/datastore/opinions/2018/04/20/16-16860.pdf …
Hvala. Twitter će to iskoristiti za poboljšanje vaše vremenske crte. PoništiPoništi -
Fritz Obermeyer proslijedio/la je Tweet
Utilizing JAX pmap, map, vmap, we can draw chains in sequential, or parallel with many devices (CPUs/GPUs), or even with a single device using vectorization. This cool feature is available in NumPyro 0.2.0. See the release notehttps://github.com/pyro-ppl/numpyro/releases …
Prikaži ovu nitHvala. Twitter će to iskoristiti za poboljšanje vaše vremenske crte. PoništiPoništi -
Course material is at https://github.com/pyro-ppl/sandbox/tree/master/2019-08-time-series … (latest draft, feedback and PRs welcome
)Prikaži ovu nitHvala. Twitter će to iskoristiti za poboljšanje vaše vremenske crte. PoništiPoništi -
Want to learn about Time Series Forecasting in Pyro? Join
@NeerajPrad and I for a tutorial in San Diego next Tuesday 8/20https://mlsummitsd.splashthat.comPrikaži ovu nitHvala. Twitter će to iskoristiti za poboljšanje vaše vremenske crte. PoništiPoništi -
Fritz Obermeyer proslijedio/la je Tweet
Join us at Machine Learning Summit hosted by Uber in San Diego August 20th. Open Source talks about
#Pytorch,#Ludwig, and#XGBoost, hands-on workshops on#Horovod and#Pyro. Uber will donate your registration fee to@OpenSourceOrg!#OSS#machinelearninghttps://mlsummitsd.splashthat.com/Hvala. Twitter će to iskoristiti za poboljšanje vaše vremenske crte. PoništiPoništi -
I'm loving the time-parallel inference based on Särkkä & García-Fernández https://arxiv.org/abs/1905.13002 This makes it super cheap to do Baum-Welch training of neural HMMs on GPUs. Try it out with pyro.distributions.DiscreteHMM
Hvala. Twitter će to iskoristiti za poboljšanje vaše vremenske crte. PoništiPoništi -
Pyro 0.3.4 is released! A flexible easyguide module, customizable autoguide initialization, more normalizing flows, new schedulers, faster HMM learning, and a redesigned MCMC interface. This is our last Python 2 compatible release.https://github.com/pyro-ppl/pyro/releases/tag/0.3.4 …
Hvala. Twitter će to iskoristiti za poboljšanje vaše vremenske crte. PoništiPoništi -
The Pyro team is excited to release NumPyro, a JAX backend for the Pyro probabilistic programming language. The modeling language mirrors Pyro, and inference via HMC and NUTS is very fast. Let us know what you think!https://github.com/pyro-ppl/numpyro …
Hvala. Twitter će to iskoristiti za poboljšanje vaše vremenske crte. PoništiPoništi -
Pyro 0.3.2 is released! Capture-recapture example, new normalizing flows, faster and easier discrete inference, LKJ and SpanningTree distributions, diagnostics for VI, and a pyro.generic interface to support new backends for Pyrohttps://github.com/pyro-ppl/pyro/releases/tag/0.3.2 …
Hvala. Twitter će to iskoristiti za poboljšanje vaše vremenske crte. PoništiPoništi -
Fritz Obermeyer proslijedio/la je Tweet
So excited
#jax is becoming more and more popular. Now caught up by#pyro team in https://github.com/pyro-ppl/numpyro …. For what I value#jax is their core idea of#numpy API replication. This is a more than a decade of scientific computing evolution, follow! Thanks@junpenglao for sharingHvala. Twitter će to iskoristiti za poboljšanje vaše vremenske crte. PoništiPoništi -
Fritz Obermeyer proslijedio/la je Tweet
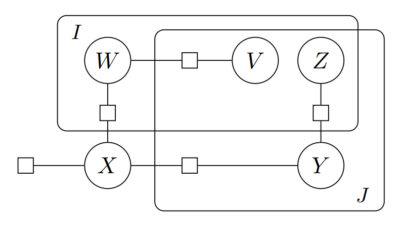
New work with the Pyro team (https://arxiv.org/abs/1902.03210 ) on efficient batched discrete variable inference through tensor variable elimination. Practically generalizes 'einsum' with batching, semirings (log-space, max, etc), and marginals. Powers Pyro's discrete directed inference.pic.twitter.com/upE6Soazkw
Hvala. Twitter će to iskoristiti za poboljšanje vaše vremenske crte. PoništiPoništi
Čini se da učitavanje traje već neko vrijeme.
Twitter je možda preopterećen ili ima kratkotrajnih poteškoća u radu. Pokušajte ponovno ili potražite dodatne informacije u odjeljku Status Twittera.