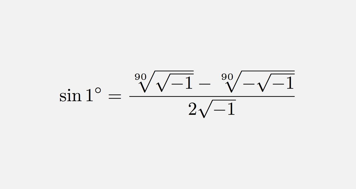
It is a particularization of sin(x)=(exp(jx)-exp(-jx))/2j.
-
-
-
The formula can be generalized to find the sine of any angle in degrees:pic.twitter.com/nmATcBNWwe
- 5 more replies
New conversation -
-
-
This Tweet is unavailable.
-
√(-1) = i
- 2 more replies
-
-
- End of conversation
New conversation -
-





Pentru, o stiinta liniara , posibil.
Referitor la o alta, con/vergenta,
ba !
pic.twitter.com/ScIBfwITGw
-
Is this language Romanian? It's beautiful
End of conversation
New conversation -
-
-
What does √ stands for here?
Thanks. Twitter will use this to make your timeline better. UndoUndo
-
-
-
You mean π/2-th root of -1.
-
Mmm nope. Why do you say that?
- 1 more reply
New conversation -
Loading seems to be taking a while.
Twitter may be over capacity or experiencing a momentary hiccup. Try again or visit Twitter Status for more information.

