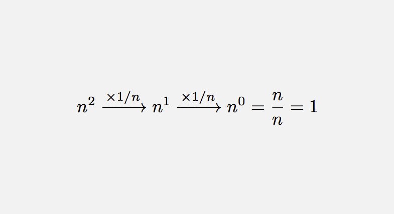
Capital PI notation helps. Exponentiation is repeated multiplication & empty product = 1. If a≠0 & n∈ℕpic.twitter.com/qK6VAP7ACK
You can add location information to your Tweets, such as your city or precise location, from the web and via third-party applications. You always have the option to delete your Tweet location history. Learn more
Capital PI notation helps. Exponentiation is repeated multiplication & empty product = 1. If a≠0 & n∈ℕpic.twitter.com/qK6VAP7ACK
Weird notation.
My brain just exploded!!!!
very nice
That also shows the problem with 0^0
Same as n^0 = n^(x-x) =(n^x).(n^-x) =(n^x)/(n^x)=1
That’s pretty cool.
I love this.
Ayy çok iyi @mllegalois 
I find "by definition..." works well.
Twitter may be over capacity or experiencing a momentary hiccup. Try again or visit Twitter Status for more information.