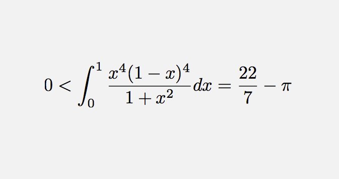
22/7 is good enough for me. Or 3 if in Louisiana 
-
-
Thanks. Twitter will use this to make your timeline better. UndoUndo
-
-
-
toli3 3idak aanjad mhemm
@EBoustany -
- 2 more replies
New conversation -
-
-
@jesswade Eureka!Thanks. Twitter will use this to make your timeline better. UndoUndo
-
-
-
@DesiMcKeown Omg the math geek in me loves this!
Thanks. Twitter will use this to make your timeline better. UndoUndo
-
-
-
Zhao Youqin's value is even better! 355/113 = 3.141592....
-
Celebrate 355/113 π approximation on the 355th day, 01:13, December 21 in non leap years
End of conversation
New conversation -
-
-
A thing of beauty.
Thanks. Twitter will use this to make your timeline better. UndoUndo
-
-
This Tweet is unavailable.
-
This Tweet is unavailable.
Loading seems to be taking a while.
Twitter may be over capacity or experiencing a momentary hiccup. Try again or visit Twitter Status for more information.