^ one merely needs to prove that 1)Last digit of N^k = last digit of n^k; where n is the last digit of N...
-
-
-
^ 2) demonstrate that last digit of m^5 = m;m=1...9. From 1) and 2) it directly follows that last digit of any number l= last digit of l^5.
- 1 more reply
New conversation -
-
-
I wish I understood numbers they just don't work in my head
Thanks. Twitter will use this to make your timeline better. UndoUndo
-
-
-
Surely a power of 8 cannot end in a 9? Nice diagram, though

- 1 more reply
New conversation -
-
Rock n roll maths. Statistical virtuosity. Quantum tunesmithery.
Thanks. Twitter will use this to make your timeline better. UndoUndo
-
-
-
Are you really in the pub answering maths equations on Twitter?
-
It's not a great time
- 1 more reply
New conversation -
-
This Tweet is unavailable.
-
-
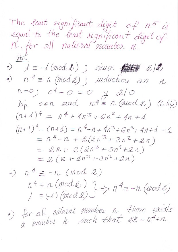
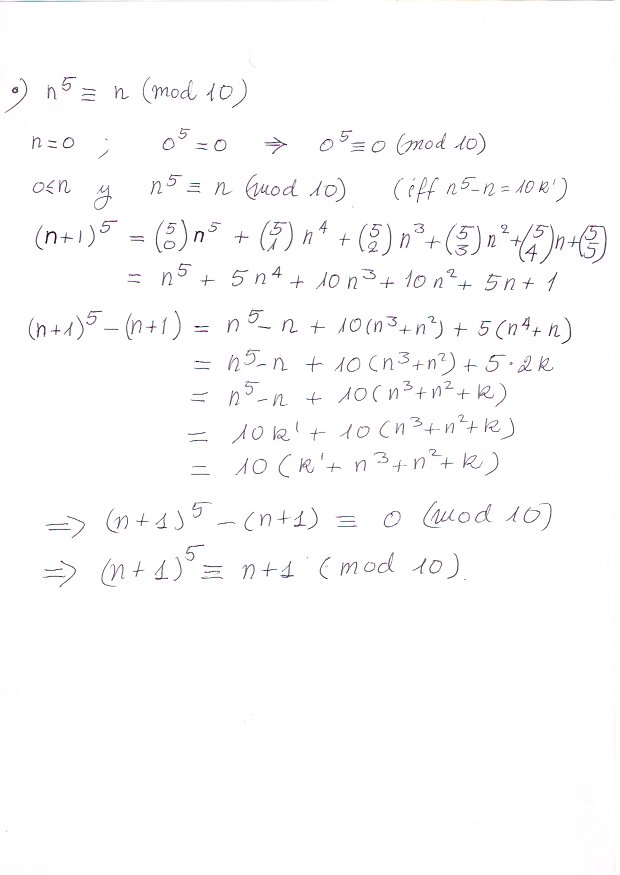
A slightly simplified proof of the fact.
#numbers#induction#0_IsANaturalNumberpic.twitter.com/R6q1rUhvTS
Thanks. Twitter will use this to make your timeline better. UndoUndo
-
Loading seems to be taking a while.
Twitter may be over capacity or experiencing a momentary hiccup. Try again or visit Twitter Status for more information.