While m_p / m_e ≈ 6π⁵ held good in 1951, it is no longer so anymore today. The constant m_p / m_e is now known to be 1836.15267343, so the relationship now is more like: m_p / m_e ≈ 6π⁵ + 0.03456472.
-
New conversation
-
-
-
Thanks. Twitter will use this to make your timeline better. UndoUndo
-
-
-
So I can publish a paper in one tweet.
Thanks. Twitter will use this to make your timeline better. UndoUndo
-
-
-
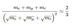
Koide formula relates masses of electron, muon and tauon.pic.twitter.com/qozNAh5coo
Thanks. Twitter will use this to make your timeline better. UndoUndo
-
-
-
Meanwhile, “Physical Review” continues to refuse publication of my alternate theory of gravity: EarthSuck-Balancing the Forces of Suckness and Suckitude.
Thanks. Twitter will use this to make your timeline better. UndoUndo
-
-
-
Thanks. Twitter will use this to make your timeline better. UndoUndo
-
-
-
Thanks. Twitter will use this to make your timeline better. UndoUndo
-
-
-
Seems quite a coincidence given protons are made up of quarks, unless electrons are made up of a kind of quarks too...
-
Of course, of course, and it is no longer as accurate as it looked back then, but it still looks cool and the paper is super short.
End of conversation
New conversation -
Loading seems to be taking a while.
Twitter may be over capacity or experiencing a momentary hiccup. Try again or visit Twitter Status for more information.
