The last but one step is missing an N. It should be: 2π(R - h/2)N + 2πhN(N + 1)/2. Related joke: What is the volume of a pizza with radius z and thickness a? One can make more similar jokes easily: What is the volume of a box with length b, width o, and height x?
-
-
Thanks. Twitter will use this to make your timeline better. UndoUndo
-
-
-
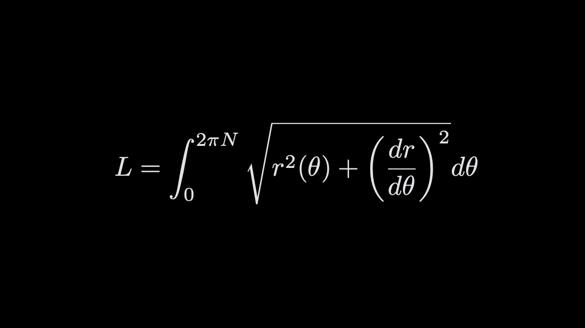
For the exact length you can also calculate the arc length of a spiral in polar coordinates :)pic.twitter.com/lmuohJeqyU
-
Oh yeah I get it NOT lol
End of conversation
New conversation -
-
-
If you substitute N in the solution, it can also be written as: L = pi N (R_out + R) L = 2 N pi (Rout + R)/ 2 L = 2 N pi R_av i.e., N times the perimeter of the average radius.
-
Thanks - Much more intuitive and simple
End of conversation
New conversation -
-
-
Or divide cross section area by thickness.
Thanks. Twitter will use this to make your timeline better. UndoUndo
-
-
-
Second last line, first part of the addition is missing an N
Thanks. Twitter will use this to make your timeline better. UndoUndo
-
-
-
Now that’s Belly Laugh Out Loud




-
Haha toilet paper is everywhere now! Just not in the shops


.
In my practical legal training class today the teacher was using TP 4 examples
. Was so cute her son was home due to school closures & kept trying to cuddle her (he’s 4). Very wholesome 

.pic.twitter.com/vAb5LT6I2T
- 3 more replies
New conversation -
-
-
what formula is used to calculate infection rate.
-
Logistic function
- 1 more reply
New conversation -
Loading seems to be taking a while.
Twitter may be over capacity or experiencing a momentary hiccup. Try again or visit Twitter Status for more information.
