on mobilepic.twitter.com/iIDedOrDw4
You can add location information to your Tweets, such as your city or precise location, from the web and via third-party applications. You always have the option to delete your Tweet location history. Learn more
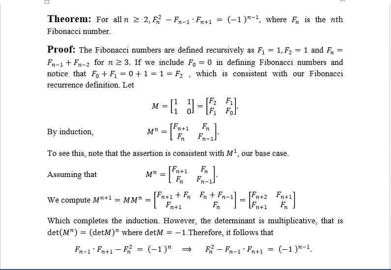
More like an illustration rather than a proof.
I just made this (not photos just tables and diagrams etc
). Fibonacci numbers make beautiful patterns. Building blocks of life. Working on something re Pi and Fibonacci using Tao, I Qing philosophy amongst others. Hope can share one day

.pic.twitter.com/vBXC92DkuX
Repaying what I wrote on Bode’s approximation re planetary distance & relationship w Fibonacci sequence & possible effects of entropy/planetary disruption/alteration (i.e where is the missing planet ?
.)
Also adding gorgeous patterns in planetary movement/flower of life

pic.twitter.com/j4zIFKvEMm
Can we use mathematical induction?
I don't think so Cuz we don't have a method to find the general term of the Fibonacci sequence, hence NOT factorisable to a convenient expression
So, sum of the squares of numbers in the Fibonacci series is equal to the product of the last term, and its successive term Is there a ummm Algebraic approach I'm just too lazy to Google one up If there isn't, could you give us one?
And.... Is this from 1 to the last number, or just any section of numbers in the series It's not mentioned clearly
Twitter may be over capacity or experiencing a momentary hiccup. Try again or visit Twitter Status for more information.