Liouville’s tau generalizationpic.twitter.com/uZU3SJcqMZ
You can add location information to your Tweets, such as your city or precise location, from the web and via third-party applications. You always have the option to delete your Tweet location history. Learn more
Had to try it with a prime. Still works.
And final result is always the same: 9.
1) start with a prime => P
2) divisors => always [1, P]
3) number of divisors of each divisor => always [1,2] (1 divisible by 1, P divisible by 1 and P)
4) (1+2)²=1³+2³=9, always

Nice! That reminds me a similar relation that I found when I was at high school: (1+2+3+...+N)^2 = (1^3+2^3+3^3+...+N^3)
You called?
How about this one since I don’t do math well? Number of English/Arabic numerals composed of only straight lines (1,4,7)= 3, a prime Number of English/Arabic numerals composed with curved lines (2,3,5,6,8,9,0)= 7, a prime Does the Fields Medal come with any cash?
To be frank, I believe curved numbers are just a quirk of how we write Arabic numerals for modern convenience; that is, the original symbols were straight and their values were based on the number of angles in the symbol.
Any application?
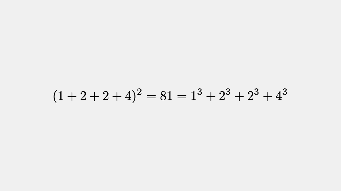
8 (1, 2, 4, 8) (1, 2, 3, 4) (1+2+3+4)^2 = 1^3+2^3+3^3+4^3 = 100 OK
let's try with 2820 :
Twitter may be over capacity or experiencing a momentary hiccup. Try again or visit Twitter Status for more information.