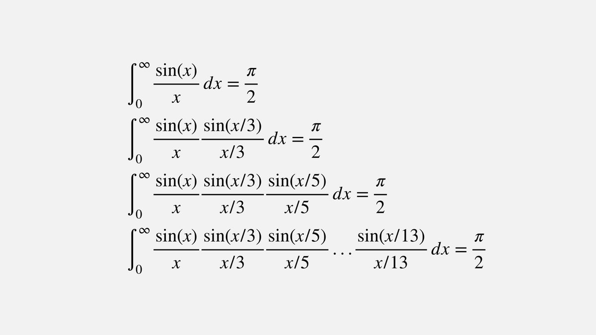
Sinc(x/15) got into a rebel phase, typical teenager!
-
-
Thanks. Twitter will use this to make your timeline better. UndoUndo
-
-
-
My friend recommended me read this
@NinjaRose420 article and I think it offers interesting insight into why this happens based on use of random walkers & determining the finite or infinite nature of boundaries.
Based on S. N. Majumdar & E. Trizac work
.https://m.phys.org/news/2019-07-illusive-patterns-math-ideas-physics.html …Thanks. Twitter will use this to make your timeline better. UndoUndo
-
-
-
Carl Störmer studied Borwein integral in 1895: https://projecteuclid.org/euclid.acta/1485881949 … See also Exec 6, Ch VI in Whittaker-Watson https://archive.org/stream/in.ernet.dli.2015.148403/2015.148403.A-Course-Of-Modern-Analysis-Ed3rd#page/n127/mode/2up …
- End of conversation
New conversation -
-
-
This is because 1 + 1/3 + 1/5 + ... + 1/13 + 1/15 > 2.
-
Is it?
- 2 more replies
New conversation -
-
-
Doesit fail for good, or mightthere be a much higher value for which it works? Does it become divergent?
Thanks. Twitter will use this to make your timeline better. UndoUndo
-
-
-
Wikipedia has explained it quite a bit! Worth checking.
Thanks. Twitter will use this to make your timeline better. UndoUndo
-
-
-
Thanks. Twitter will use this to make your timeline better. UndoUndo
-
-
-
Sameer Shah recent writing in semi-final 1 of the
@aperiodical Big Internet Math-Off:https://aperiodical.com/2019/07/the-big-internet-math-off-2019-semi-final-1-lucy-rycroft-smith-vs-sameer-shah/ …Thanks. Twitter will use this to make your timeline better. UndoUndo
-
Loading seems to be taking a while.
Twitter may be over capacity or experiencing a momentary hiccup. Try again or visit Twitter Status for more information.
