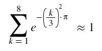
An even more simple and beautiful one: π=e=3
-
-
-
Beautiful, I was just admiring this amazing piece of practical engineering when my laptop designed a jet engine and flew out the window
End of conversation
New conversation -
-
-
Digits of aproximation?
- 2 more replies
New conversation -
-
-
Thanks. Twitter will use this to make your timeline better. UndoUndo
-
-
-
Generally we take value upto 3 decimal so that's usual.
- 1 more reply
New conversation -
-
-
Can you prove it's a coincidence?

-
If it were not a coincidence it would not be an approximation
- 4 more replies
New conversation -
-
-
That is pretty surprising: ln(pi^4+pi^5)=5.999999956
-
That's literally the above though
- 1 more reply
New conversation -
Loading seems to be taking a while.
Twitter may be over capacity or experiencing a momentary hiccup. Try again or visit Twitter Status for more information.
