-
-
-
App name?
- 3 more replies
New conversation -
-
-
sin(x)=x is the approx for champions :D
-
Between 0 & π? Oh please kill me

- 2 more replies
New conversation -
-
-
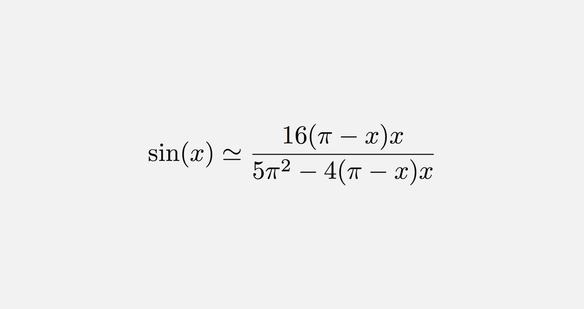
Max absolute error is 0.0016 (in [0, pi] obviously)
Thanks. Twitter will use this to make your timeline better. UndoUndo
-
-
-
Thanks. Twitter will use this to make your timeline better. UndoUndo
-
-
-
Mahabhaskariya was known around Bhaskara as a bit of a cad. He once disrupted a celebration of Ganesh in the village of Dindigul by painting himself as a blue Vishnu and groping many of the maidens nearby. Alas, this was his original sin.
-
Why not let the dead rest!



End of conversation
New conversation -
-
-
How was this derived?
Thanks. Twitter will use this to make your timeline better. UndoUndo
-
-
-
Indians made great advancements in maths
-
Basic science, Mathematics, Astronomy, Medicine india is the pioneer.
- 1 more reply
New conversation -
Loading seems to be taking a while.
Twitter may be over capacity or experiencing a momentary hiccup. Try again or visit Twitter Status for more information.