Islamic Golden age ?
-
-
-
Bhaskara is an Indian name, afaik this would be before the period you mentioned (if this info is accurate at all).
- 1 more reply
New conversation -
-
-
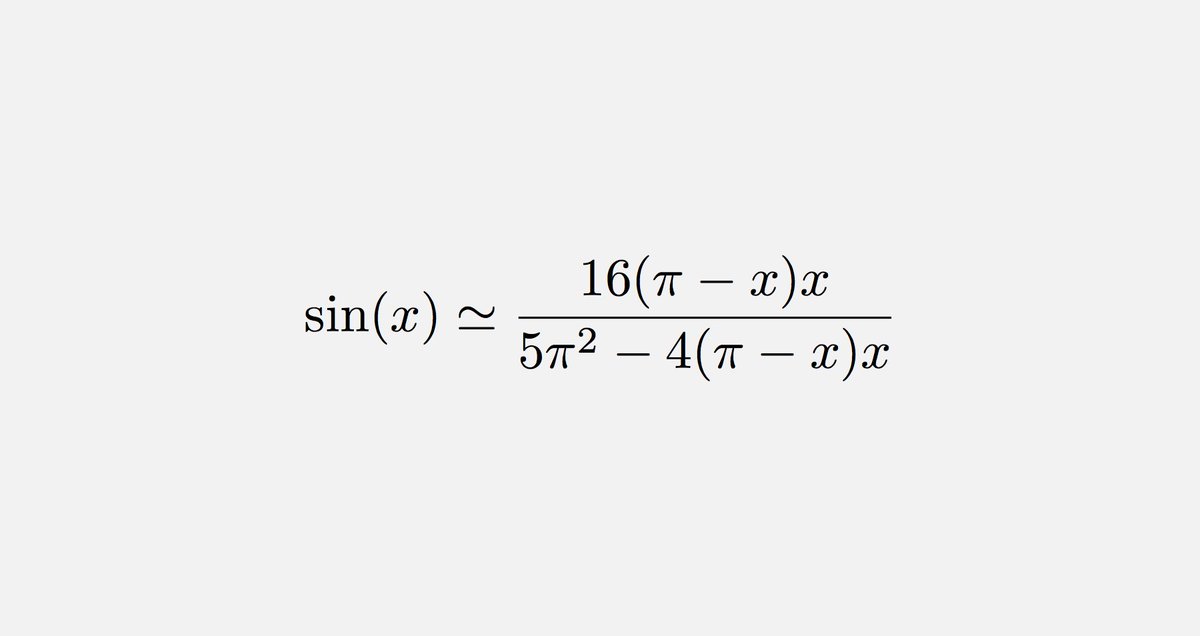
The approximation is exact/spot on for 5 values of x on [0,π].
These are x = 0, π/6, π/2, 5π/6, π. Try and see it for yourself! -
I think that might be the way they came up with this approximation. If you start by fixing a parabola where sine is 0 you get g(x)=(π-x)x. Then if you correct it and fix points where sine is 1/2 (π/6,π/2,5π/6) in the expression g(x)=(π-x)x/f(x) you get f(x)=1/16(5π²−4x(π−x))

- 1 more reply
New conversation -
-
-
-
Which software is this ?
End of conversation
New conversation -
-
-
how do you even start thinking about this .. 1400 yrs ago ...
-
Because they don’t have Facebook to waste their time in those days I guess

- 2 more replies
New conversation -
-
-
What a nice graph!!!
End of conversation
New conversation
Loading seems to be taking a while.
Twitter may be over capacity or experiencing a momentary hiccup. Try again or visit Twitter Status for more information.
