Did he use this equation to solve day to day activities?
-
-
-
That’s not the point of Pure Mathematics.
- 3 more replies
New conversation -
-
-
To prove the inequalities 223/71 < π < 22/7, Archimedes calculated the perimeters of inscribing and circumscribing polygons of 6, 12, 24, 48, and finally 96 sides. Here's an animation for sides 3 to 30.pic.twitter.com/91K3oxQgF0
-
But what made Achemedis to work so hard to arrive at this answer?
- 1 more reply
New conversation -
-
-
Thanks. Twitter will use this to make your timeline better. UndoUndo
-
-
-
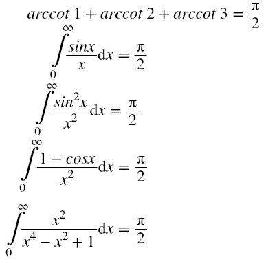
Looks like you can write any figure this way...
End of conversation
New conversation -
-
In 1910 Ramanujan found several approximation formulas for π including this series which computes a further 8 decimal places of π with each term in the series. The first term gives π≈3.1415927.. The sum of the first 2 terms gives π≈3.1415926535897938... π≈3.1415926535897932..pic.twitter.com/8o2rlrUlSn
-
Ramanujan didn’t have a formal education. University degrees are overrated perhaps

- 1 more reply
New conversation -
-
This Tweet is unavailable.
Loading seems to be taking a while.
Twitter may be over capacity or experiencing a momentary hiccup. Try again or visit Twitter Status for more information.