Tweetovi
- Tweetovi, trenutna stranica.
- Tweetovi i odgovori
- Medijski sadržaj
Blokirali ste korisnika/cu @d_r_o_n_e
Jeste li sigurni da želite vidjeti te tweetove? Time nećete deblokirati korisnika/cu @d_r_o_n_e
-
DℝOℕ∈ proslijedio/la je TweetHvala. Twitter će to iskoristiti za poboljšanje vaše vremenske crte. PoništiPoništi
-
DℝOℕ∈ proslijedio/la je TweetHvala. Twitter će to iskoristiti za poboljšanje vaše vremenske crte. PoništiPoništi
-
DℝOℕ∈ proslijedio/la je TweetHvala. Twitter će to iskoristiti za poboljšanje vaše vremenske crte. PoništiPoništi
-
DℝOℕ∈ proslijedio/la je TweetHvala. Twitter će to iskoristiti za poboljšanje vaše vremenske crte. PoništiPoništi
-
DℝOℕ∈ proslijedio/la je TweetHvala. Twitter će to iskoristiti za poboljšanje vaše vremenske crte. PoništiPoništi
-
DℝOℕ∈ proslijedio/la je TweetHvala. Twitter će to iskoristiti za poboljšanje vaše vremenske crte. PoništiPoništi
-
Double Mersenne prime = 2^(Mersenne prime) – 1 Triple Mersenne prime = 2^(double Mersenne prime) – 1 2^(2^(2² – 1) – 1) – 1 = 127 and 2^(2^(2³ – 1) – 1) – 1 = 170141183460469231731687303715884105727 are not only double but also triple Mersenne primes.pic.twitter.com/LFbLhaoNfK
Hvala. Twitter će to iskoristiti za poboljšanje vaše vremenske crte. PoništiPoništi -
Hvala. Twitter će to iskoristiti za poboljšanje vaše vremenske crte. PoništiPoništi
-
n-parasitic number is a natural number which can be multiplied by n by moving the last digit to the frontpic.twitter.com/VqPHwRTig6
Hvala. Twitter će to iskoristiti za poboljšanje vaše vremenske crte. PoništiPoništi -
OR, AND, XOR, IMPLY, NOR, NAND, XNOR, NIMPLY, NOT ∨, ∧, ⊻, →, ↓, ↑,
, ↛, ¬pic.twitter.com/ChoM6PLDFW
Hvala. Twitter će to iskoristiti za poboljšanje vaše vremenske crte. PoništiPoništi -
Firoozbakht's conjecture: (n+1)st prime is less than nth prime to the power of (1+1/n)pic.twitter.com/2aPffUtwbR
Hvala. Twitter će to iskoristiti za poboljšanje vaše vremenske crte. PoništiPoništi -
Hvala. Twitter će to iskoristiti za poboljšanje vaše vremenske crte. PoništiPoništi
-
DℝOℕ∈ proslijedio/la je TweetHvala. Twitter će to iskoristiti za poboljšanje vaše vremenske crte. PoništiPoništi
-
∃ 224 n-digit numbers where last k digits are divisible by k-th prime for k=1..n leading zero(s) are allowed (ignored) Complete list and example:pic.twitter.com/PDxMrScStU
Hvala. Twitter će to iskoristiti za poboljšanje vaše vremenske crte. PoništiPoništi -
Hvala. Twitter će to iskoristiti za poboljšanje vaše vremenske crte. PoništiPoništi
-
Formula for the number of trailing zeros in n! For example the number of trailing zeros in 100! is 24 ∵ 100/5 + 100/5² = 20 + 4 = 24pic.twitter.com/g8CwCQBD9R
Hvala. Twitter će to iskoristiti za poboljšanje vaše vremenske crte. PoništiPoništi -
One more or one less than primorial (the product of the first n primes) primes:pic.twitter.com/koqV36VNBo
Hvala. Twitter će to iskoristiti za poboljšanje vaše vremenske crte. PoništiPoništi -
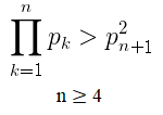
Bonse's inequality The product of the first n primes is bigger than the square of the (n+1)st prime where n ≥ 4pic.twitter.com/abcErY6wjF
Hvala. Twitter će to iskoristiti za poboljšanje vaše vremenske crte. PoništiPoništi -
∃ 200 n-digit numbers where first k digits are divisible by k-th prime for k=1..n Complete list and example:pic.twitter.com/YjR3JScvOF
Hvala. Twitter će to iskoristiti za poboljšanje vaše vremenske crte. PoništiPoništi -
The nearest neighbour algorithm was one of the first algorithms used to solve the travelling salesman problem.pic.twitter.com/XFVnqHwxmv
Hvala. Twitter će to iskoristiti za poboljšanje vaše vremenske crte. PoništiPoništi
Čini se da učitavanje traje već neko vrijeme.
Twitter je možda preopterećen ili ima kratkotrajnih poteškoća u radu. Pokušajte ponovno ili potražite dodatne informacije u odjeljku Status Twittera.