I build on literature highlighting the role of non-state actors in providing social services. Armed organizations in low-capacity states do this often; they also usually face budget constraints and try to do so cheaply /2
-
-
Näytä tämä ketju
-
I argue that non-state actors may lower the costs of providing services to followers by monopolizing the control of (already existing, state-funded) public infrastructure /3
Näytä tämä ketju -
After the fall of the Ba'athist regime/American invasion in 2003, several scholars and journalists observed the Sadrist Movement capturing control of the existing electricity grid and re-directing the power supply to neighborhoods where more of their supporters lived /4
Näytä tämä ketju -
This happened as the Sadrist Movement was formalized and began openly operating in 2003, following its gradual coalescence as a loosely organized network in the 1990s. See this article by
@PeterHarling and Hamid Nasser for background /5https://peterharling.com/2007/06/01/the-sadrist-trend-class-struggle-millenarianism-and-fitna/ …Näytä tämä ketju -
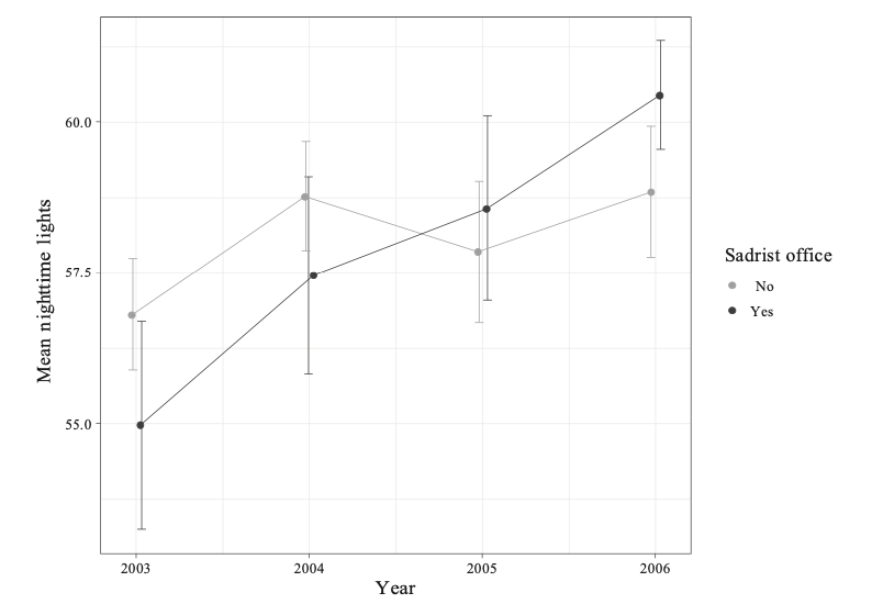
Using remote sensing ("nighttime lights") data and neighborhood-level information on the location of Sadrist offices, I show that Sadrist-affiliated neighborhoods of Baghdad saw greater increases in access to electricity between 2003 and 2006 /6pic.twitter.com/93nT6HbKpS
Näytä tämä ketju -
I conclude by discussing how this specific form of non-state service provision has happened before - in places like Lebanon and Colombia, among others - and how it may affect state development in the longer run. /7
Näytä tämä ketju
Keskustelun loppu
Uusi keskustelu -
-
-
Does this research even take Hamas's rule on Gaza Strip as case study?

-
I focus on Iraq in this article, with brief mention of analogous cases in Lebanon and Colombia - but interested to learn more about other cases where this may be happening as well!
Keskustelun loppu
Uusi keskustelu -
-
-
Looking forward to reading it, congrats!
Kiitos. Käytämme tätä aikajanasi parantamiseen. KumoaKumoa
-
-
-
Fascinating topic. Is this article available for public access?
-
I believe it is at the moment! If not please DM me
Keskustelun loppu
Uusi keskustelu -
Lataaminen näyttää kestävän hetken.
Twitter saattaa olla ruuhkautunut tai ongelma on muuten hetkellinen. Yritä uudelleen tai käy Twitterin tilasivulla saadaksesi lisätietoja.