Skip to content
By using Twitter’s services you agree to our Cookies Use. We and our partners operate globally and use cookies, including for analytics, personalisation, and ads.
  • Home Home Home, current page.
  • About

Saved searches

  • Remove
  • In this conversation
    Verified accountProtected Tweets @
Suggested users
  • Verified accountProtected Tweets @
  • Verified accountProtected Tweets @
  • Language: English
    • Bahasa Indonesia
    • Bahasa Melayu
    • Català
    • Čeština
    • Dansk
    • Deutsch
    • English UK
    • Español
    • Filipino
    • Français
    • Hrvatski
    • Italiano
    • Magyar
    • Nederlands
    • Norsk
    • Polski
    • Português
    • Română
    • Slovenčina
    • Suomi
    • Svenska
    • Tiếng Việt
    • Türkçe
    • Ελληνικά
    • Български език
    • Русский
    • Српски
    • Українська мова
    • עִבְרִית
    • العربية
    • فارسی
    • मराठी
    • हिन्दी
    • বাংলা
    • ગુજરાતી
    • தமிழ்
    • ಕನ್ನಡ
    • ภาษาไทย
    • 한국어
    • 日本語
    • 简体中文
    • 繁體中文
  • Have an account? Log in
    Have an account?
    · Forgot password?

    New to Twitter?
    Sign up
chrisgeidner's profile
Chris Geidner
Chris Geidner
Chris Geidner
Verified account
@chrisgeidner

Tweets

Chris GeidnerVerified account

@chrisgeidner

Legal Editor, @BuzzFeedNews. SCOTUS Correspondent. Nat Sec Team, covering Trump & Mueller. Sober. Gay. Buckeye. Law Dork. DMs open. chris.geidner@buzzfeed.com

Washington, D.C.
buzzfeednews.com/author/chrisge…
Joined March 2009

Tweets

  • © 2018 Twitter
  • About
  • Help Center
  • Terms
  • Privacy policy
  • Cookies
  • Ads info
Dismiss
Previous
Next

Go to a person's profile

Saved searches

  • Remove
  • In this conversation
    Verified accountProtected Tweets @
Suggested users
  • Verified accountProtected Tweets @
  • Verified accountProtected Tweets @

Promote this Tweet

Block

  • Tweet with a location

    You can add location information to your Tweets, such as your city or precise location, from the web and via third-party applications. You always have the option to delete your Tweet location history. Learn more

    Your lists

    Create a new list


    Under 100 characters, optional

    Privacy

    Copy link to Tweet

    Embed this Tweet

    Embed this Video

    Add this Tweet to your website by copying the code below. Learn more

    Add this video to your website by copying the code below. Learn more

    Hmm, there was a problem reaching the server.

    By embedding Twitter content in your website or app, you are agreeing to the Twitter Developer Agreement and Developer Policy.

    Preview

    Why you're seeing this ad

    Log in to Twitter

    · Forgot password?
    Don't have an account? Sign up »

    Sign up for Twitter

    Not on Twitter? Sign up, tune into the things you care about, and get updates as they happen.

    Sign up
    Have an account? Log in »

    Two-way (sending and receiving) short codes:

    Country Code For customers of
    United States 40404 (any)
    Canada 21212 (any)
    United Kingdom 86444 Vodafone, Orange, 3, O2
    Brazil 40404 Nextel, TIM
    Haiti 40404 Digicel, Voila
    Ireland 51210 Vodafone, O2
    India 53000 Bharti Airtel, Videocon, Reliance
    Indonesia 89887 AXIS, 3, Telkomsel, Indosat, XL Axiata
    Italy 4880804 Wind
    3424486444 Vodafone
    » See SMS short codes for other countries

    Confirmation

     

    Welcome home!

    This timeline is where you’ll spend most of your time, getting instant updates about what matters to you.

    Tweets not working for you?

    Hover over the profile pic and click the Following button to unfollow any account.

    Say a lot with a little

    When you see a Tweet you love, tap the heart — it lets the person who wrote it know you shared the love.

    Spread the word

    The fastest way to share someone else’s Tweet with your followers is with a Retweet. Tap the icon to send it instantly.

    Join the conversation

    Add your thoughts about any Tweet with a Reply. Find a topic you’re passionate about, and jump right in.

    Learn the latest

    Get instant insight into what people are talking about now.

    Get more of what you love

    Follow more accounts to get instant updates about topics you care about.

    Find what's happening

    See the latest conversations about any topic instantly.

    Never miss a Moment

    Catch up instantly on the best stories happening as they unfold.

    Chris Geidner‏Verified account @chrisgeidner Apr 27

    Chris Geidner Retweeted Big Cases Bot

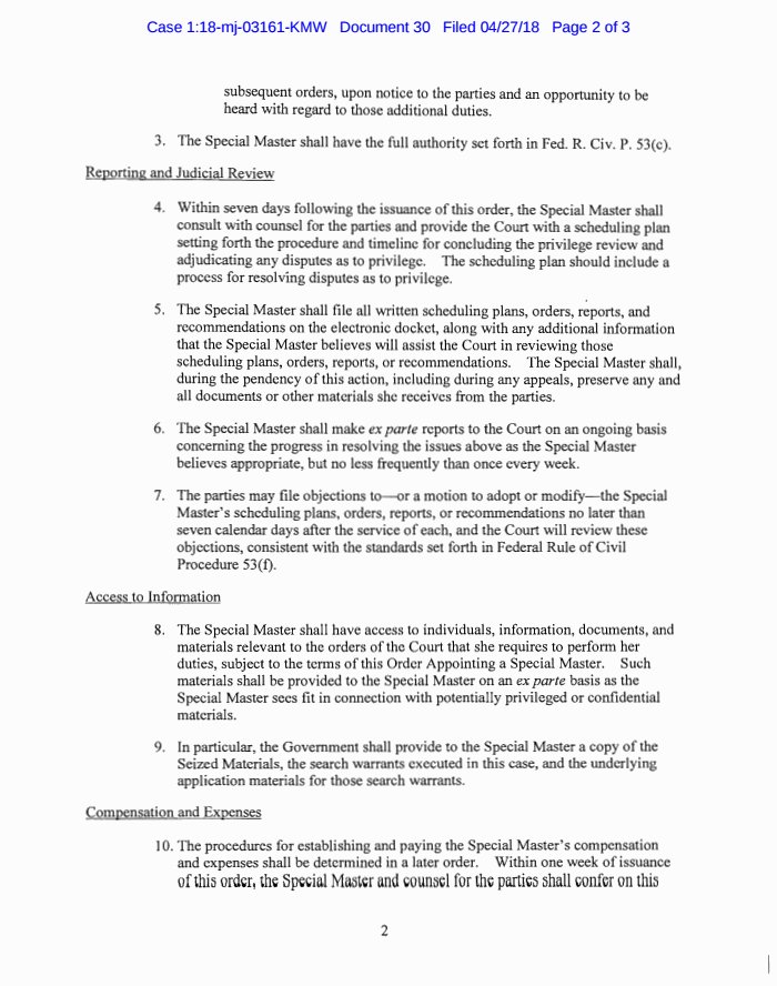
    Formal appointment of retired judge Barbara Jones as special master in the Cohen litigation —>https://twitter.com/big_cases/status/989952507685359616 …

    Chris Geidner added,

    Big Cases Bot @big_cases
    New filing in In the Matter of Search Warrants Executed on April 9, 2018: Order https://www.documentcloud.org/documents/4448779-Order.html … pic.twitter.com/py1lYK4Gji
    12:55 PM - 27 Apr 2018
    • 27 Retweets
    • 47 Likes
    • Picture Donald Trump in Prison LoCoMummy We The People Katie not with that catitude Marte LASER CATS 🐱🐱🐾🌊 Kersti #VoteThemAllOut Lee A Shepherd Lee
    1 reply 27 retweets 47 likes
      1. New conversation
      2. John.‏ @jmccarter80 Apr 27
        Replying to @chrisgeidner

        Special master just sounds like they make titles up on the fly.

        1 reply 0 retweets 1 like
      3. Chris Geidner‏Verified account @chrisgeidner Apr 27
        Replying to @jmccarter80

        Naw. It's a regular title for a court-appointed "decider" — as opposed to a mediator — for a specific case or matter who is not a regular court employee.

        0 replies 0 retweets 5 likes
      4. End of conversation

    Loading seems to be taking a while.

    Twitter may be over capacity or experiencing a momentary hiccup. Try again or visit Twitter Status for more information.

      Promoted Tweet

      false

      • © 2018 Twitter
      • About
      • Help Center
      • Terms
      • Privacy policy
      • Cookies
      • Ads info