Tweetovi
- Tweetovi, trenutna stranica.
- Tweetovi i odgovori
- Medijski sadržaj
Blokirali ste korisnika/cu @chenxicai1
Jeste li sigurni da želite vidjeti te tweetove? Time nećete deblokirati korisnika/cu @chenxicai1
-
Chenxi "Justin" Cai proslijedio/la je Tweet
Interesting analysis that adds another metric to Bitcoin adoption.https://twitter.com/glassnode/status/1222185718891585536 …
Hvala. Twitter će to iskoristiti za poboljšanje vaše vremenske crte. PoništiPoništi -
My latest article reveals 1 million btc stored at Coinbase, the rise of Huobi to #2, and more. Many thanks for our on-chain data partner
@ChainDotInfo!@longhashdatahttps://www.longhash.com/en/news/3257?f=r …Hvala. Twitter će to iskoristiti za poboljšanje vaše vremenske crte. PoništiPoništi -
Chenxi "Justin" Cai proslijedio/la je Tweet
"Coinbase has by far the highest amount of Bitcoin of all crypto exchanges, and its holdings grew substantially over the past year . . . apparently unaffected by the up-and-downs in prices. It is set to exceed the 1,000,000 threshold very soon."https://twitter.com/the_crypto_feed/status/1220373891245150209 …
Hvala. Twitter će to iskoristiti za poboljšanje vaše vremenske crte. PoništiPoništi -
Chenxi "Justin" Cai proslijedio/la je Tweet
longhash news: opinion: bitcoin’s liquid sidechain matters more than the lightning network in 2020https://www.longhash.com/en/news/3255?f=r …
Hvala. Twitter će to iskoristiti za poboljšanje vaše vremenske crte. PoništiPoništi -
Chenxi "Justin" Cai proslijedio/la je Tweet
See
@longhashdata's Senior Investment Analyst@chenxicai1 Justin Cai's presentation "Leveraging On Chain Data Anlysis" at the Insights summit hosted by@wanchain_org &@fin_nexus! Scan the QR code or sign up at http://insights.finnexus.io to get first access to Insights!pic.twitter.com/1pAdhBhyVz
Hvala. Twitter će to iskoristiti za poboljšanje vaše vremenske crte. PoništiPoništi -
Chenxi "Justin" Cai proslijedio/la je Tweet
1/ The Log Growth Model also known as power-law corridor has gained a lot of fame recently. Based on it, the bottom is in and we can reach a Bitcoin price as high as 90k this year? The perfect channel fit is too good to be true I thought. I was very surprised by what I found.pic.twitter.com/3dYNnrPQGD
Prikaži ovu nitHvala. Twitter će to iskoristiti za poboljšanje vaše vremenske crte. PoništiPoništi -
Chenxi "Justin" Cai proslijedio/la je Tweet
Conclusions from the "Predictions & Models" chart:
95-99% of all predictions are incorrect
Under this premise BTC will have a new ATH in 2023/2024 as few expect it
For 2 years after ATHs all predictions are exaggerated
For 2013 & 2017 most predictions were too lowpic.twitter.com/hvLRqKbC5r
Prikaži ovu nitHvala. Twitter će to iskoristiti za poboljšanje vaše vremenske crte. PoništiPoništi -
Spoke about
@longhashdata on-chain data based research at the@fin_nexus Insights conferencehttps://twitter.com/fin_nexus/status/1215512446040829952 …
Hvala. Twitter će to iskoristiti za poboljšanje vaše vremenske crte. PoništiPoništi -
Chenxi "Justin" Cai proslijedio/la je Tweet
Trend reversal sighted in the wild.https://twitter.com/CL207/status/1214480427680817153 …
Prikaži ovu nitHvala. Twitter će to iskoristiti za poboljšanje vaše vremenske crte. PoništiPoništi -
Chenxi "Justin" Cai proslijedio/la je Tweet
I’m not gonna quote tweet the hustle porn everyone is dunking on, but I will say this: I worked in the games industry for 11 years, and if you think startup hours are insane, you have no idea. I actively tell young people to avoid the game industry, with the one simple trick:
Prikaži ovu nitHvala. Twitter će to iskoristiti za poboljšanje vaše vremenske crte. PoništiPoništi -
Chenxi "Justin" Cai proslijedio/la je Tweet
I have a new paper available on request showing that happiness is U-shaped in age minimizing at around age fifty in 132 countries - here it is for Europe from 1.2 million observationspic.twitter.com/0JpsUU9ws8
Hvala. Twitter će to iskoristiti za poboljšanje vaše vremenske crte. PoništiPoništi -
Chenxi "Justin" Cai proslijedio/la je Tweet
Two observations. 1. Happiness in life is U-shaped, declining until our early 50s and then coming back. 2. Happiness bounces back fast in our 60s—faster than it declines in any other decade.https://twitter.com/D_Blanchflower/status/1209104421407412224 …
Hvala. Twitter će to iskoristiti za poboljšanje vaše vremenske crte. PoništiPoništi -
Chenxi "Justin" Cai proslijedio/la je Tweet
Nothing to see herehttps://twitter.com/vetleforsland/status/1206547376254734336 …
Hvala. Twitter će to iskoristiti za poboljšanje vaše vremenske crte. PoništiPoništi -
Chenxi "Justin" Cai proslijedio/la je Tweet
For the sake of economic equality, it's our duty as Gen-Xers and Millennials to take wealth from the Boomers. Gratitude to Peter Schiff, he's such an ally.
pic.twitter.com/2KshNqba5L
Hvala. Twitter će to iskoristiti za poboljšanje vaše vremenske crte. PoništiPoništi -
Chenxi "Justin" Cai proslijedio/la je Tweet
Step 1: borrow x million of
$ETH Step 2: start an ICO Step 3: move your borrowed ETH into your crowdsale contract Step 4: boom, "funding secured" Step 5: plebs fomo on secondary mkt b/c big money bought inhttps://twitter.com/bergealex4/status/1203308244791226368 …Hvala. Twitter će to iskoristiti za poboljšanje vaše vremenske crte. PoništiPoništi -
Chenxi "Justin" Cai proslijedio/la je Tweet
1/ Weekly on–chain market observations: The bottom is close – and once it happens, the reversal will be strong. MVRV is consolidating towards 1, which historically has indicated the bottom of
#Bitcoin
market cycles. Patience is key.
https://glassno.de/2LxKj1P pic.twitter.com/7kwckER6Ri
Prikaži ovu nitHvala. Twitter će to iskoristiti za poboljšanje vaše vremenske crte. PoništiPoništi -
My latest research on Hong Kong protest and crypto adoption therehttps://twitter.com/longhashdata/status/1202241935706075136 …
Hvala. Twitter će to iskoristiti za poboljšanje vaše vremenske crte. PoništiPoništi -
Chenxi "Justin" Cai proslijedio/la je TweetHvala. Twitter će to iskoristiti za poboljšanje vaše vremenske crte. PoništiPoništi
-
Chenxi "Justin" Cai proslijedio/la je Tweet
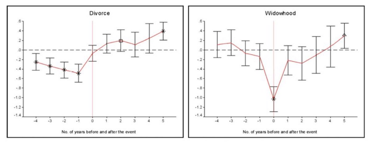
Lessons from life event and life satisfaction plots. 1. Happiness is mostly homeostatic. It’s hard for single events to permanently affect life satisfaction. 2. Humans are, overall, surprisingly resilient. 3. But we’re uniquely unresilient to long unemployment.pic.twitter.com/l2cSnI334j
Prikaži ovu nitHvala. Twitter će to iskoristiti za poboljšanje vaše vremenske crte. PoništiPoništi -
Chenxi "Justin" Cai proslijedio/la je Tweet
Using
@100trillionUSD's model,@coinmetrics's data, and@hamal03's codebase, I made a graph of the difference between the stock-to-flow model price and the actual price. Seen below is using the 14-day moving average for the actual price. Thoughts below
pic.twitter.com/56saTq4bne
Prikaži ovu nitHvala. Twitter će to iskoristiti za poboljšanje vaše vremenske crte. PoništiPoništi
Čini se da učitavanje traje već neko vrijeme.
Twitter je možda preopterećen ili ima kratkotrajnih poteškoća u radu. Pokušajte ponovno ili potražite dodatne informacije u odjeljku Status Twittera.
How many entities hold