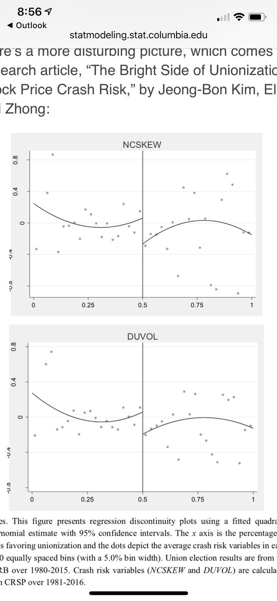
I'm not seeing a lot of discussion of their implied theoretical framework behind the RDD: the idea that union vote shares are random around majority thresholds. These are not public elections and I have significant doubts that 51% and 49% are random relative to their outcome vars
-
-
-
Not to be "that guy", but technically you don't need randomization around the cutoff for identification. You need only continuity which is a weaker assumption. Not sure that actually matters to your critique, though...
-
You're right, though I can't help but think that that "random" and "continuous" around the cutoff are nearly synonymous in this context. Framed either way, it implies a threat to the ID strategy.
-
You’re not the only one; I’m just anal retentive about the identifying assumptions.
-
Nothing wrong with precise language. For instance, I precisely consider you an economics treasure

-
Lol. You have to say “literally”
-
There's nothing literal to any discussion that suggests my being precise.
-
Brigham Frandsen has a paper discussing whether union vote shares are non-random and (if not) what we can learn anyways
End of conversation
New conversation -
-
-
admittedly not an expert in this, but isn't this why you test multiple bandwidths and different LOESS plotting near the cutoff?
-
Not sure.
@benconomics ,@jasonmlindo ,@KiraboJackson what’s your thoughts about Gelman on this? -
I'm guessing (hoping) there is more to the analysis. Obviously bad if significant estimates are driven by obs at the boundary of the bwidth. Good argument for using triangular weights and bwidth sensitivity analysis.
-
The authors do exactly that in Tables 4 and 5. The results are decently robust to those choices, though the magnitude is somewhat sensitive to bandwidth (unsurprisingly given curvature of data). Authors' only big mistake was using the quadratic graph as main exhibit.
-
My takeaway from these robustness checks is that this paper moves my priors toward its central claim, but that there's still decent uncertainty about that claim. Begs for follow-up work from other contexts, countries, etc.
-
Related to Josh's point about graphical presentation:https://twitter.com/KiraboJackson/status/1074062192037847040?s=20 …
-
Also
@JoshuaSGoodman sorry for calling you "Josh"; it was early in the morning. -
Nearly everyone calls me Josh, regardless of the time of day, so no need to apologize!
- 3 more replies
New conversation -
-
-
Isn't this what the rdselect package in R is supposed to fix? Data-driven plots?
-
Economists derisively refer to approaches like this as "data mining", but curious bandwidth selection as being "theory driven". Also economists avoid R for some reason.
-
I'm convinced it's tradition and nothing more.
-
I think tradition is part of it, but Stata is just so purpose-built for panel data, if that's what you spend the bulk of your time working with, I'm not sure there's an incentive to value the flexibility of R.
-
Coming from a programming background, economists defending *only* using Stata strikes me as weird. I'm not claiming R strictly dominates Stata, but for specific uses yea you should be using R. Or Python, or Matlab, or whatever.
-
My defense is I'm too busy to learn R, so instead I learn a little bit for a project that needs it (like a recent paper that used -gsynth- [an R package] for matrix completion). But even then, for my book, I'm going to hire someone to make a Stata version to accompany the R.
-
Scott I really have to apologize. I took a perfectly good thread and made it a Stata versus R rant. Delete my account, I know.
-
I accept all deviations within threads for the same reason that I love footnotes.
End of conversation
New conversation -
Loading seems to be taking a while.
Twitter may be over capacity or experiencing a momentary hiccup. Try again or visit Twitter Status for more information.