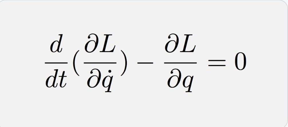
For #WorldQuantumDay, here's a conversation on the cutting edge of quantum mechanics and black holes. Send on any questions....
Brian Greene
@bgreene
Theoretical Physicist, Author, Co-founder , Professor of Mathematics & Physics, Columbia University
Brian Greene’s Tweets
Join me and Faith Salie tonight at New York Historical Society, discussing physics and the big questions. See you there. bit.ly/43v6uMo
10
22
182
Next Wednesday: Renowned physicist and mathematician joins journalist as they explore some of the biggest questions surrounding human existence.
3
11
41
Tonight in Melbourne: Join me to explore how complex bags of particles--we humans--have revealed everything from the big bang, to black holes, to the mysteries of quantum reality...and beyond.
17
18
195
Just landed back in Sydney, Australia (nice view from the plane) for tomorrow's event "The Twilight of Time" -- exploring everything from black holes and cosmology to life and consciousness. Looking forward to seeing you there. thinkinc.org.au/greene
31
35
417
🚀✨ TONIGHT at the Astor Theatre, Perth:
Join us for an unforgettable evening with
world-renowned physicist, Professor
, hosted by the charismatic GrahamPhillips! 🌌🎙️
🔗 Grab your tickets at thinkinc.org.au/greene
See you there, Perth! 🌏🌟
3
9
103
I asked ChatGPT to determine the physical distance from the event horizon of a Schwarzschild black hole in term of standard coords and the answer it gave had only one silly calculational error (on a senior undergrad quiz would have earned an A-). Impressive.
42
92
896
The universality of mathematics as described by the great David Hilbert: "Mathematics knows no races or geographic boundaries; for mathematics, the cultural world is one country."
20
45
352
In less than one month I'll be back Down Under to journey across the mind-bending world of theoretical physics with audiences in Australia and New Zealand.
Limited tickets are available, book now at thinkinc.org.au/greene
34
48
364
Join me today at 3 PM for an illustrated exploration of what visual illusions tell us about how the mind creates the realty we "see."
21
47
224
Toronto: Join me on January 26, 2023 at Roy Thomson Hall for a new multimedia show “Beyond the Stars." Tix and info at bit.ly/3VNlf92 (use code BG100).
32
42
316
Love this, even though I disagree: "Either mathematics is too big for the human mind, or the human mind is more than a machine."--Kurt Gödel, among the greatest logicians of all time, died OTD 1978.
78
128
1,046
Here's one shocking thing about quantum mechanics: As a particle travels, it explores every possible path, and what we observe is a particular melding of them all.
221
482
2,800
In honor of 1/11, the amusing identity:
111111111 x 111111111 = 12345678987654321
38
298
1,638
To my mind, the biggest unsettled question in Quantum Mechanics is: How does the wavy probabilistic haze central to the mathematical formulation of the theory transform into the single definite reality of experience?
416
529
3,426
"I much prefer the sharpest criticism of a single intelligent man to the thoughtless approval of the masses."--Johannes Kepler, born OTD 1571.
57
282
1,973
If you could travel to the past, you would not change anything. You would have always been part of that time. There are not two versions of a moment in time, one without you and one with you. Moments in time just ARE. They don't change.
280
405
2,641
The famous Earth-rise image taken on Christmas Eve 1968 still fills me with optimism. The wonderful power of perspective. Happy Holidays to all.
52
258
1,968
"It is far better to grasp the Universe as it really is than to persist in delusion, however satisfying and reassuring."--Carl Sagan, died OTD 1996.
106
629
2,900
Toronto: Thrilled to join you on January 26, 2023 at Roy Thomson Hall with a new multimedia show “Beyond the Stars." Tix and info at bit.ly/3VNlf92 (and for holiday discount use code BG100).
12
28
270
"The best that most of us can hope to achieve in physics is simply to misunderstand at a deeper level."--Wolfgang Pauli, pioneer of quantum physics and Nobel Laureate, died OTD 1958.
35
212
1,079
Here are some thoughts on the recent fusion work, lauding the achievement but noting how far we are from human-made fusion powering the world.
33
114
602
Profound beauty resides in deep connections between disparate ingredients.
73
229
1,619
Major scientific announcement expected tomorrow regarding the long sought milestone of harnessing nuclear fusion to create more energy than scientists put in--one step closer to poetically creating a small star here on Earth.
106
586
3,274
The sun is not just a source of energy. It's a source of low entropy--highly ordered--energy. That’s what's essential in making the sun's energy useful.
55
184
1,322
Thrilled to be coming to Toronto on January 26, 2023 at Roy Thomson Hall with a new multimedia show “Beyond the Stars." Tix and info at bit.ly/3VNlf92 (and for holiday discount use code BG100).
23
41
293
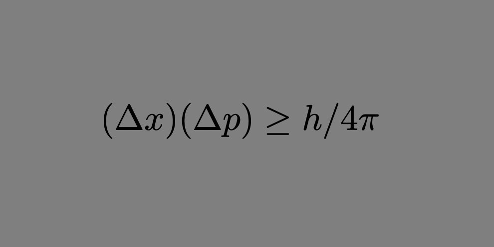
Werner Heisenberg, whose uncertainty principle established a central role for chance in the quantum laws of physics, born this week 1901. And that's certain.
66
233
1,431
Visualizations of Einstein's general relativity often show space warping only "underneath" an object--this visual is better:
GIF
235
2,207
10K
This week in 1915: Albert Einstein completes the general theory of relativity, giving us one of the most beautiful equations ever conceived (LHS describes the curvature of spacetime, RHS describes the matter and energy in spacetime).
71
524
2,231
Thrilled to be coming to Toronto on January 26, 2023 at Roy Thomson Hall with a new multimedia show “Beyond the Stars." Tix and info at roythomsonhall.com or csentertainment.ca (use code BG100 for holiday discount.) See you there!
14
32
222
Back to the moon and on to Mars--join me at noon (in five minutes) for a live discussion about the Artemis space mission: our first step toward the stars.
8
22
165
Join me today at 3 PM EST (now!) for a conversation on The Dreaming Mind: Waking the Mysteries of Sleep.
10
30
128
Looking forward to my upcoming events in Australia and New Zealand--tix/info at link below.
Quote Tweet
Catch @bgreene LIVE on-stage in March/April 2023! Get your tickets at bit.ly/3wgAn2L
1:57
5.4K views
18
21
184
Here's the math--Bell's Theorem--underlying this year's Nobel Prize in Physics, and the conclusion that the cosmos is non-local.
41
103
456
Here is a brief summary of the essential physics underlying this year's Nobel Prize, awarded in the area of Quantum Entanglement.
29
147
571
In honor of the Nobel Prize in Physics being awarded for work on quantum entanglement, here is a discussion of the essential physics (with animations and a few equations).
20
140
700
The 2022 Nobel Prize in Physics has been awarded to Alain Aspect, John Clauser and Anton Zeilinger for their profoundly important work in quantum entanglement, which has changed our conception of reality.
21
197
1,005
If you're in Australia or New Zealand in March/April 2023: Join me for a series of live events where we'll journey through the universe -- past to present and into the far future -- grappling with matter, mind, and the quest for meaning. Tix/Info:
12
22
154
This broad-minded police officer thinks psychedelics could be powerful tools for healing PTSD. Hear his story, part of our program with of , and gul dolen.
16
21
132
A contentious question at the heart of Quantum Mechanics: How does the nebulous, probabilistic, quantum haze transition into the definite reality of everyday experience?
219
213
1,274


