Tweetovi
- Tweetovi, trenutna stranica.
- Tweetovi i odgovori
Blokirali ste korisnika/cu @atabey88
Jeste li sigurni da želite vidjeti te tweetove? Time nećete deblokirati korisnika/cu @atabey88
-
Ata proslijedio/la je Tweet
BayesNet: A library for drawing Bayesian networks, graphical models and directed factor graphs in LaTeX. https://github.com/jluttine/tikz-bayesnet …pic.twitter.com/smL25Ahty2
Hvala. Twitter će to iskoristiti za poboljšanje vaše vremenske crte. PoništiPoništi -
Today I completed reading the
#Anne_Frank's diary. After that I googled for more information. She was adorable. I can't stop thinking about her.Hvala. Twitter će to iskoristiti za poboljšanje vaše vremenske crte. PoništiPoništi -
Ata proslijedio/la je Tweet
Consider: millions of years ago our antecedents gave a massive sacrifice of their left hemisphere. We lost a tremendous amount of short term memory and replaced it with Broca’s, Wernicke & the phonological loop. But why? So we can—talk. Thus chimpanzees can do this—we can’t:pic.twitter.com/CDznxg37p1
Prikaži ovu nitHvala. Twitter će to iskoristiti za poboljšanje vaše vremenske crte. PoništiPoništi -
Ata proslijedio/la je Tweet
"There is nothing impossible to him who will try." -- Alexander the Greatpic.twitter.com/zRzgD9qaeP
Hvala. Twitter će to iskoristiti za poboljšanje vaše vremenske crte. PoništiPoništi -
CrickHIT for Six in today's
#Cricket#GoogleDoodle!
Score: 0https://g.co/doodle/hqk7m3 Hvala. Twitter će to iskoristiti za poboljšanje vaše vremenske crte. PoništiPoništi -
در حال مطالعه هرم تغذیه هستم برای نوشتن برنامه غذایی هفتگی و ماهیانه.
Hvala. Twitter će to iskoristiti za poboljšanje vaše vremenske crte. PoništiPoništi -
سوال مهم اینه که کراش چی هست اصلأ که مردم فقط تو توئیتر این همه میزنن؟!
Hvala. Twitter će to iskoristiti za poboljšanje vaše vremenske crte. PoništiPoništi -
تعریفی خیلی خلاصه و مفید از زندگی


https://twitter.com/Senba_SevenMo/status/1054804137030963201 …Hvala. Twitter će to iskoristiti za poboljšanje vaše vremenske crte. PoništiPoništi -
Ata proslijedio/la je Tweet
افرادی که زود از کوره در میروند،معمولا اشخاص با انصاف و عادلی هستند ولی چون به جزئیات بسیار دقت میکنند و همچنین حافظه خوبی دارند،با کمترین ناهماهنگی بهم میریزند! اونایی که زود عصبانی میشن ریت کنند تا همو پیدا کنیم
Hvala. Twitter će to iskoristiti za poboljšanje vaše vremenske crte. PoništiPoništi -
Ata proslijedio/la je Tweet
کاش تو تهران سالهای ۱۳۲۵ تا ۱۳۵۵، ۲۰ سالگی تا ۵۰ سالگیمو میگذروندم
Hvala. Twitter će to iskoristiti za poboljšanje vaše vremenske crte. PoništiPoništi -
Ata proslijedio/la je Tweet
يدونه از اين علم كش ها رو تو خونه مادرش بگه مبل رو بلند كن ميگه نميتونه ، كف خيابون داف ميبينه علم٣٠٠كيلويي رو از پيچ شمرون ميبره تجريش .
Hvala. Twitter će to iskoristiti za poboljšanje vaše vremenske crte. PoništiPoništi -
#من_اگر_حق_انتخاب_داشتم شهری رو برا زندگی انتخاب میکردم که#قوانین_رانندگی توش رعایت بشه.Hvala. Twitter će to iskoristiti za poboljšanje vaše vremenske crte. PoništiPoništi -
#من_اگر_حق_انتخاب_داشتم عکس پروفایلم رو عکس خودم میذاشتم.Hvala. Twitter će to iskoristiti za poboljšanje vaše vremenske crte. PoništiPoništi -
با اختلاف، بهترین مقاله ای که ارز دیجیتال و بلاک چین رو توضیح داده “How Does the Blockchain Work?”
@MicheleDaliessihttps://medium.com/s/story/how-does-the-blockchain-work-98c8cd01d2ae …Hvala. Twitter će to iskoristiti za poboljšanje vaše vremenske crte. PoništiPoništi -
دخترم می پرسد: سید یعنی چی؟ و من می مانم چه بگویم که القای
#نژاد_پرستی نباشد!Hvala. Twitter će to iskoristiti za poboljšanje vaše vremenske crte. PoništiPoništi -
Ata proslijedio/la je Tweet
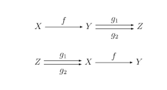
New post: Epimorphism and Monomorphism https://www.johndcook.com/blog/2018/08/25/epi-and-mono/ …pic.twitter.com/3Ywrn3jUZK
Hvala. Twitter će to iskoristiti za poboljšanje vaše vremenske crte. PoništiPoništi -
Ata proslijedio/la je Tweet
کسایی که خنداننده شو حتی یه قسمتم ندیدن ریت کنن همو پیدا کنیم:)))))
Hvala. Twitter će to iskoristiti za poboljšanje vaše vremenske crte. PoništiPoništi -
آقا اینترنت آزاد پیش کش مشکل این سایتهایی که ایرانیا رو از دسترسی محروم کرده حل بشن کافیه
#freeinternet4iranHvala. Twitter će to iskoristiti za poboljšanje vaše vremenske crte. PoništiPoništi -
هر چه زمان میگذره عظمت
#داروین بیشتر نمایان میشه.Hvala. Twitter će to iskoristiti za poboljšanje vaše vremenske crte. PoništiPoništi -
Ata proslijedio/la je Tweet
معلمهای عزیز با تشکر از زحماتی که میکشین به شما ربطی نداره کی پدر مادرش جدا شده و کی نشده اول مهر نزدیکه
Hvala. Twitter će to iskoristiti za poboljšanje vaše vremenske crte. PoništiPoništi
Čini se da učitavanje traje već neko vrijeme.
Twitter je možda preopterećen ili ima kratkotrajnih poteškoća u radu. Pokušajte ponovno ili potražite dodatne informacije u odjeljku Status Twittera.