Maloney can step down then to help people if thats how she feels.
-
-
Merci. Twitter en tiendra compte pour améliorer votre fil. SupprimerSupprimer
-
-
-
Lauren, bringing the
to @RepMaloney and soon she’ll bring that same
to Congress. Her last name is Ashcraft because she’s gonna help build something even better out of the ashes. 
- Fin de la conversation
Nouvelle conversation -
-
-
Lauren, What exactly have you done to help people? Voters would like to know your plans but also your experience.
- Voir les réponses
Nouvelle conversation -
-
-
Merci. Twitter en tiendra compte pour améliorer votre fil. SupprimerSupprimer
-
-
-
The vote for war *alone* should be a dealbreaker. The size and anger of the massive antiwar protests -- in her own district and across the world -- in Feb 2003 should have been enough to drown out the lies from the White House. But she did not listen....
- Voir les réponses
Nouvelle conversation -
-
-
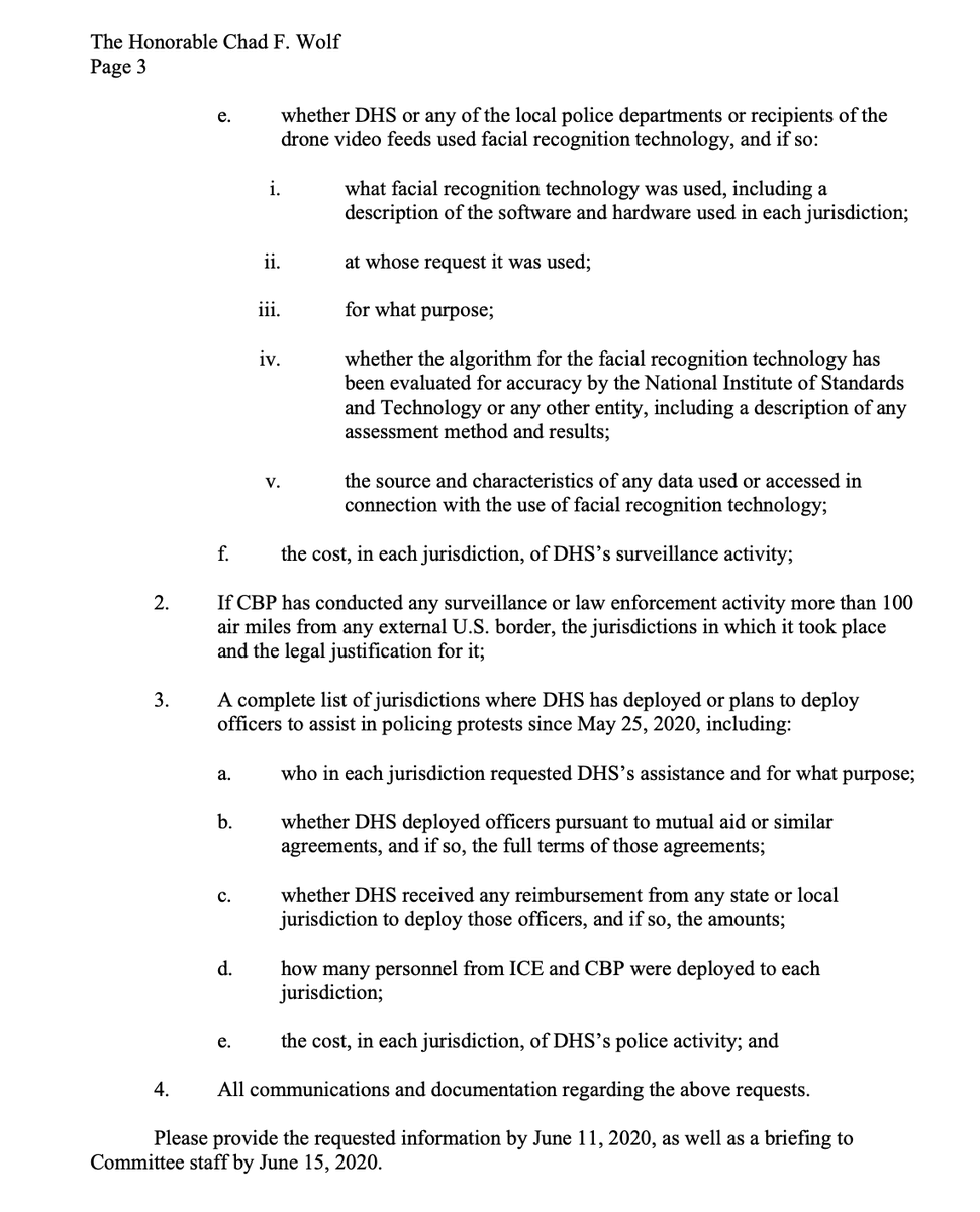
Since you asked, here’s what Rep. Maloney is currently doing as the first Chairwoman of the the Oversifht Committee. https://twitter.com/reppressley/status/1270774123313143808?s=21 …https://twitter.com/RepPressley/status/1270774123313143808 …
-
Oversight*
- Voir les réponses
Nouvelle conversation -
Le chargement semble prendre du temps.
Twitter est peut-être en surcapacité ou rencontre momentanément un incident. Réessayez ou rendez-vous sur la page Twitter Status pour plus d'informations.

