টুইট
- টুইট, বর্তমান পৃষ্ঠা।
- টুইট এবং উত্তর
- মিডিয়া
আপনি @SunFoundation-কে ব্লক করেছেন
আপনি কি এই টুইটগুলি দেখতে চাওয়ার বিষয়ে নিশ্চিত? টুইটগুলি দেখা হলে @SunFoundation অবরোধ মুক্ত হবে না।
-
Sunlight Foundation পুনঃ টুইট করেছেন
“What’s now presented on this Web page is a narrow definition of sex discrimination,” - Our Dir. of Programs,
@RachelkBergman, in@ColbyItkowitz's@WashingtonPost Health 202 about WIP's report on removals of language from HHS's civil rights office website: https://www.washingtonpost.com/news/powerpost/paloma/the-health-202/2018/07/19/the-health-202-there-s-a-medicaid-subsidy-cliff-health-care-officials-are-worried-about/5b4f9a571b326b1e64695455/?noredirect=on&utm_term=.9e358ef1b937 …pic.twitter.com/eZ4mjaCSge
ধন্যবাদ। আপনার সময়রেখাকে আরো ভালো করে তুলতে টুইটার এটিকে ব্যবহার করবে। পূর্বাবস্থায়পূর্বাবস্থায় -
"Anticipating that HHS will soon reveal its new policy in regards to Section 1557...advocacy groups have been working to predict what sort of changes the country can expect." Writes
@PacificStand's@jherrerack on our new@SunWebIntegrity report:https://psmag.com/news/language-about-sex-discrimination-has-disappeared-from-government-websites-concerning-obamacare …ধন্যবাদ। আপনার সময়রেখাকে আরো ভালো করে তুলতে টুইটার এটিকে ব্যবহার করবে। পূর্বাবস্থায়পূর্বাবস্থায় -
Sunlight Foundation পুনঃ টুইট করেছেন
NEW: HHS civil rights office removed language about sex discrimination from webpages about Sec 1557, the Affordable Care Act's nondiscrimination provision. Experts say the removals signal a shift in policy regarding prohibitions on sex discrimination.https://sunlightfoundation.com/2018/07/19/hhs-removes-sex-discrimination-prohibition-language-from-civil-rights-office-website/ …
এই থ্রেডটি দেখানধন্যবাদ। আপনার সময়রেখাকে আরো ভালো করে তুলতে টুইটার এটিকে ব্যবহার করবে। পূর্বাবস্থায়পূর্বাবস্থায় -
Sunlight Foundation পুনঃ টুইট করেছেন
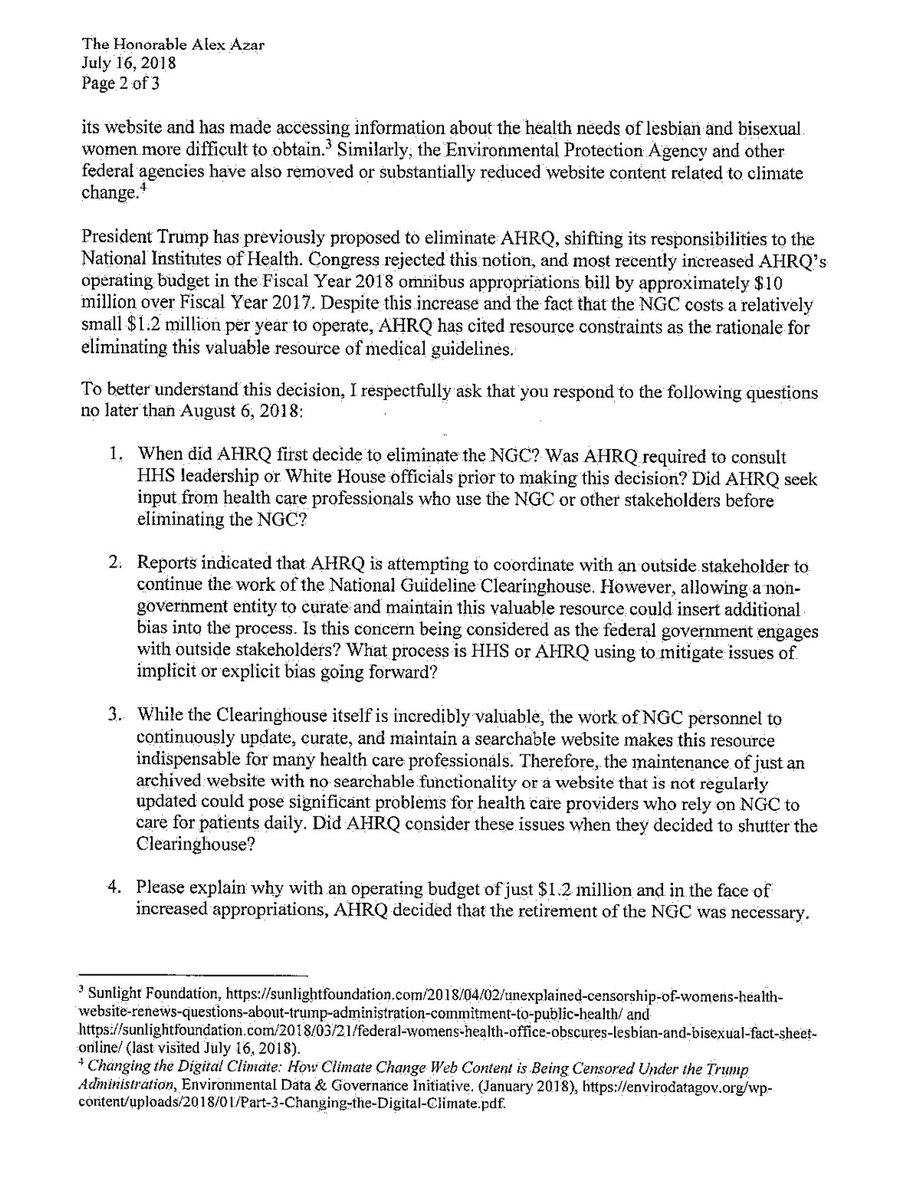
More on the shutdown of the National Guideline Clearinghouse:
@SenMarkey sent a letter yesterday urging AHRQ Director, Gopal Khanna, to "swiftly reconsider." Markey asked for responses to questions about why, when, & how the decision was made by Aug 6: https://bit.ly/2NoLH5b pic.twitter.com/0au3w0h3Uj
ধন্যবাদ। আপনার সময়রেখাকে আরো ভালো করে তুলতে টুইটার এটিকে ব্যবহার করবে। পূর্বাবস্থায়পূর্বাবস্থায় -
Sunlight Foundation পুনঃ টুইট করেছেন
The
@ECRI_Institute says they plan to relaunch an "interim" subscription version of the site, independent of the Agency for Healthcare Quality and Research (@AHRQNews), this fall.https://twitter.com/ECRI_Institute/status/1019205527509913600 …এই থ্রেডটি দেখানধন্যবাদ। আপনার সময়রেখাকে আরো ভালো করে তুলতে টুইটার এটিকে ব্যবহার করবে। পূর্বাবস্থায়পূর্বাবস্থায় -
Sunlight Foundation পুনঃ টুইট করেছেন
A follow-up to our
@TheDailyBeast story from last week on the demise of the National Guideline Clearinghouse: The nonprofit that ran the site under HHS contract announced today that it will continue the NGC work, but without old data and for an access fee.https://www.thedailybeast.com/hhs-plans-to-delete-20-years-of-critical-medical-guidelines-next-week …এই থ্রেডটি দেখানধন্যবাদ। আপনার সময়রেখাকে আরো ভালো করে তুলতে টুইটার এটিকে ব্যবহার করবে। পূর্বাবস্থায়পূর্বাবস্থায় -
Michigan is the only state with a full-time legislature and no financial disclosure requirements. Now, in an effort to change that, 23 members of
@michiganleg are voluntarily sharing their financial information.@Publicihttps://www.publicintegrity.org/2018/07/09/21942/michigan-state-integrity?utm_source=iwatchnews&utm_medium=web&utm_campaign=rss …ধন্যবাদ। আপনার সময়রেখাকে আরো ভালো করে তুলতে টুইটার এটিকে ব্যবহার করবে। পূর্বাবস্থায়পূর্বাবস্থায় -
Sunlight Foundation পুনঃ টুইট করেছেন
The federal government's database of medical guidelines will "go dark" on Monday due to budget cuts. http://Guideline.gov received about 200,000 visitors per month and has been a go-to resource for medical professionals. Our piece in
@TheDailyBeast:https://www.thedailybeast.com/hhs-plans-to-delete-20-years-of-critical-medical-guidelines-next-week …ধন্যবাদ। আপনার সময়রেখাকে আরো ভালো করে তুলতে টুইটার এটিকে ব্যবহার করবে। পূর্বাবস্থায়পূর্বাবস্থায় -
A year and a half after initially promising to do so,
@SecretaryRoss is finally selling all of his stocks.https://www.politico.com/story/2018/07/12/wilbur-ross-divests-stocks-ethics-watchdog-717847 …ধন্যবাদ। আপনার সময়রেখাকে আরো ভালো করে তুলতে টুইটার এটিকে ব্যবহার করবে। পূর্বাবস্থায়পূর্বাবস্থায় -
.
@librarycongress is finally making Congressional Research Service reports publicly available. Will it be too little, too late? https://www.fedscoop.com/library-of-congress-public-crs-reports-site-project-criticism/ …@danielschuman,@JoshData,@kevinrkosar and@saftergood have some good ideas to help the effort live up to its promise.ধন্যবাদ। আপনার সময়রেখাকে আরো ভালো করে তুলতে টুইটার এটিকে ব্যবহার করবে। পূর্বাবস্থায়পূর্বাবস্থায় -
Sunlight Foundation পুনঃ টুইট করেছেন
In early June, a 14-page Affordable Care Act website was removed from http://Medicaid.gov . No explanation has yet been offered by
@CMSGov for why most of the content from those pages can no longer be found elsewhere on the site.https://sunlightfoundation.com/2018/07/12/14-page-affordable-care-act-website-removed-from-medicaid-gov/ …ধন্যবাদ। আপনার সময়রেখাকে আরো ভালো করে তুলতে টুইটার এটিকে ব্যবহার করবে। পূর্বাবস্থায়পূর্বাবস্থায় -
New research from
@fschouten shows that more than 40% of outside spending on the midterms is coming in the form of dark money. https://eu.usatoday.com/story/news/politics/2018/07/12/secret-money-funds-more-than-40-percent-outside-congressional-tv-ads-midterm-elections/777536002/ … Unfortunately, that number is only expected to grow as more money floods the airwaves ahead of November.ধন্যবাদ। আপনার সময়রেখাকে আরো ভালো করে তুলতে টুইটার এটিকে ব্যবহার করবে। পূর্বাবস্থায়পূর্বাবস্থায় -
Alabama
@GovernorKayIvey took a small step towards reforming a state program that helped funnel money for jail food programs into local sheriffs' pockets, but only state lawmakers can solve the problem for good.https://apnews.com/298c74fbc436462ab6c6aa15a25b016a/Alabama-gov:-Jail-food-funds-can't-go-into-sheriffs'-pockets …ধন্যবাদ। আপনার সময়রেখাকে আরো ভালো করে তুলতে টুইটার এটিকে ব্যবহার করবে। পূর্বাবস্থায়পূর্বাবস্থায় -
Sunlight Foundation পুনঃ টুইট করেছেন
On Monday, doctors, nurses and researchers will lose access to a trove of medical data, as the Trump Administration shuts down the National Guidelines Clearinghouse. See our piece today, by our Senior Investigator
@j0ncampbell, in@TheDailyBeast:https://www.thedailybeast.com/hhs-plans-to-delete-20-years-of-critical-medical-guidelines-next-week …এই থ্রেডটি দেখানধন্যবাদ। আপনার সময়রেখাকে আরো ভালো করে তুলতে টুইটার এটিকে ব্যবহার করবে। পূর্বাবস্থায়পূর্বাবস্থায় -
Want to run one of Washington's powerful trade organizations? "Former Member of Congress" might not look as good as it used to on your resume.http://thehill.com/business-a-lobbying/396395-ex-lawmakers-see-tough-job-market-with-trade-groups …
ধন্যবাদ। আপনার সময়রেখাকে আরো ভালো করে তুলতে টুইটার এটিকে ব্যবহার করবে। পূর্বাবস্থায়পূর্বাবস্থায় -
The
@FCC is planning to tackle fraud and abuse in its comment system. https://arstechnica.com/tech-policy/2018/07/ajit-pai-finally-gets-around-to-fighting-fraud-in-fcc-comment-system/ … but, as@digiphile argues, regulatory CAPTCHA might not be the best approachhttps://twitter.com/EPluribusUnum/status/1017060281443405824 …
ধন্যবাদ। আপনার সময়রেখাকে আরো ভালো করে তুলতে টুইটার এটিকে ব্যবহার করবে। পূর্বাবস্থায়পূর্বাবস্থায় -
Sunlight Foundation পুনঃ টুইট করেছেন
Our Senior Investigator,
@j0ncampbell in@thedailybeast: Next week the Trump administration will shut down the federal government's website for medical guidelines, which has been a key resource for medical professionals and the public for almost 20 years:https://www.thedailybeast.com/hhs-plans-to-delete-20-years-of-critical-medical-guidelines-next-week?ref=home …ধন্যবাদ। আপনার সময়রেখাকে আরো ভালো করে তুলতে টুইটার এটিকে ব্যবহার করবে। পূর্বাবস্থায়পূর্বাবস্থায় -
Sunlight Foundation পুনঃ টুইট করেছেন
NEW REPORT: http://Medicaid.gov removed a 14-page website devoted to the Affordable Care Act without explanation. The webpages included still-accurate information such as eligibility requirements under
@MedicaidGov and the#ACA, which is still law:https://sunlightfoundation.com/2018/07/12/14-page-affordable-care-act-website-removed-from-medicaid-gov/ …এই থ্রেডটি দেখানধন্যবাদ। আপনার সময়রেখাকে আরো ভালো করে তুলতে টুইটার এটিকে ব্যবহার করবে। পূর্বাবস্থায়পূর্বাবস্থায় -
Sunlight Foundation পুনঃ টুইট করেছেন
The 'sherpa' guiding
#SCOTUSpick Brett Kavanaugh through his confirmation is a corporate lobbyist who was paid by the dark money Judicial Crisis Network group to lobby for Gorsuch.https://readsludge.com/2018/07/09/white-house-taps-dark-money-lobbyist-as-sherpa-for-scotus-pick/ …ধন্যবাদ। আপনার সময়রেখাকে আরো ভালো করে তুলতে টুইটার এটিকে ব্যবহার করবে। পূর্বাবস্থায়পূর্বাবস্থায় -
Get your morning started with the latest from
@SunWebIntegrity. Early last month, a 14 page website dedicated to the Affordable Care Act was removed from http://Medicaid.gov . This is not the first ACA related removal from a@CMSGov website.https://sunlightfoundation.com/2018/07/12/14-page-affordable-care-act-website-removed-from-medicaid-gov/ …ধন্যবাদ। আপনার সময়রেখাকে আরো ভালো করে তুলতে টুইটার এটিকে ব্যবহার করবে। পূর্বাবস্থায়পূর্বাবস্থায়
লোড হতে বেশ কিছুক্ষণ সময় নিচ্ছে।
টুইটার তার ক্ষমতার বাইরে চলে গেছে বা কোনো সাময়িক সমস্যার সম্মুখীন হয়েছে আবার চেষ্টা করুন বা আরও তথ্যের জন্য টুইটারের স্থিতি দেখুন।