Tweetovi
- Tweetovi, trenutna stranica.
- Tweetovi i odgovori
- Medijski sadržaj
Blokirali ste korisnika/cu @RobertTLange
Jeste li sigurni da želite vidjeti te tweetove? Time nećete deblokirati korisnika/cu @RobertTLange
-
Prikvačeni tweet
2019
was quite the year for Deep Reinforcement Learning. In todays blog post I list my top 10 papers 

https://roberttlange.github.io/posts/2019/12/blog-post-9/ … What was your favourite paper? Let me know!pic.twitter.com/CqD4PqjEKV
Hvala. Twitter će to iskoristiti za poboljšanje vaše vremenske crte. PoništiPoništi -
Another day at the
@sprekeler Lab: “Blitzforschung“ = 5min blackboard presentation of a paper
. Yesterday‘s gem: Backpropamine by @ThomasMiconi,@jeffclune et al. (2019; ICLR). Dopamine-inspired modulation of differential plasticity = Bridging
timescales in Meta-Learning
pic.twitter.com/h51LCyudhZ
Hvala. Twitter će to iskoristiti za poboljšanje vaše vremenske crte. PoništiPoništi -
Celebrating 10 'flexible learning' reading group sessions @TUBerlin ! What better way to do so, than with some deep neuroethology

? Checkout all presentations & join the mailing list
https://github.com/RobertTLange/flexible-learning-group …pic.twitter.com/WcsUzuLuiA
Hvala. Twitter će to iskoristiti za poboljšanje vaše vremenske crte. PoništiPoništi -
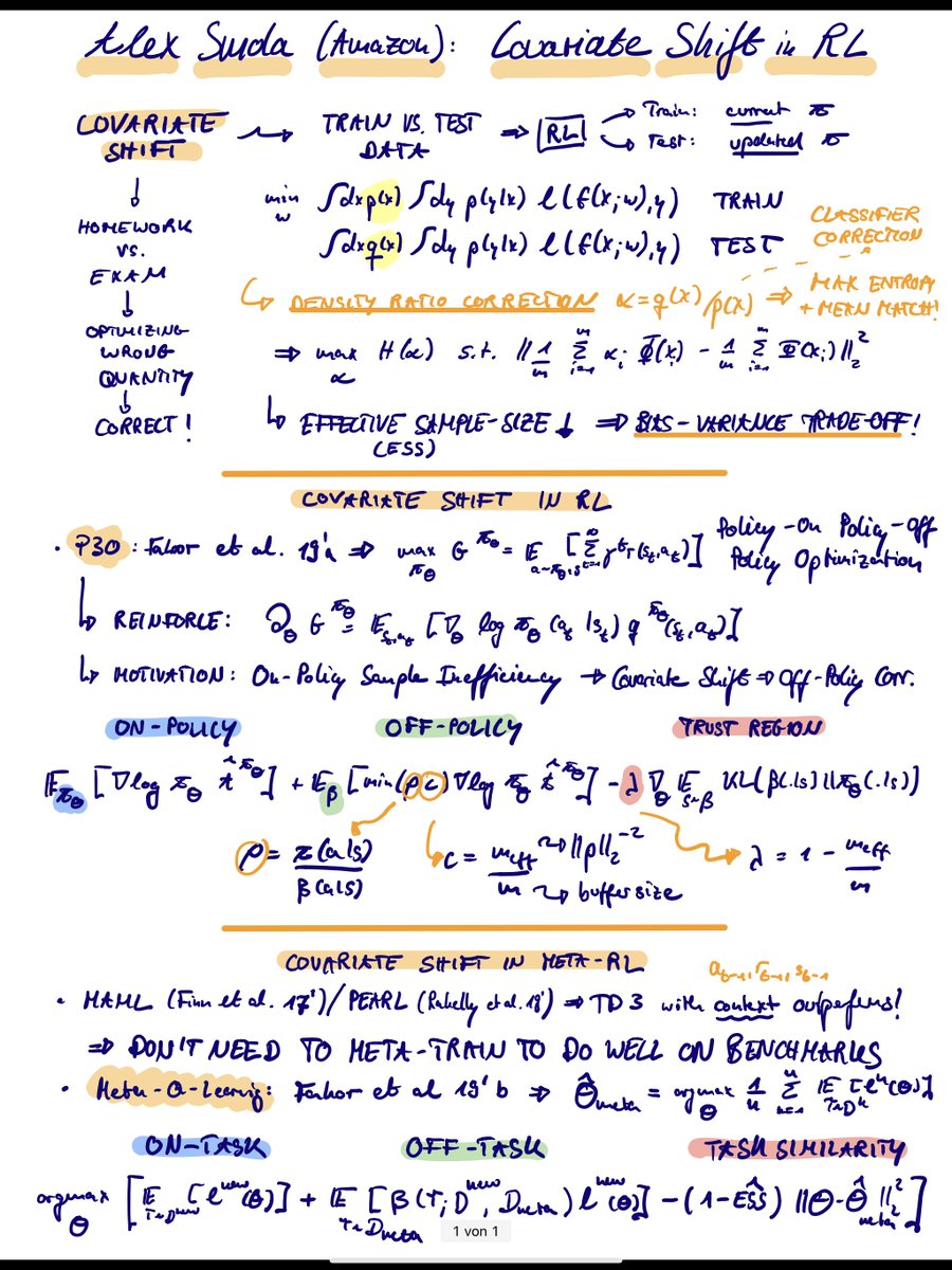
Interested in principled off-policy correction?
@smolix outlines how to combat covariate shift in RL. Work (P3O & Meta-Q-Learning) done with@rasoolfa and presented@TUBerlin

pic.twitter.com/JFwzOTJrSQ
Hvala. Twitter će to iskoristiti za poboljšanje vaše vremenske crte. PoništiPoništi -
Two days ago
@_NicolasRoth gave a great presentation on “Recurrent Independent Mechanisms” by@anirudhg9119,@svlevine,@bschoelkopf et al. 19’ at the Flexible Learning Reading Group@TUBerlin. Checkout the slides & join the mailing list

: https://github.com/RobertTLange/flexible-learning-group …pic.twitter.com/afyCNh6zLl
Hvala. Twitter će to iskoristiti za poboljšanje vaše vremenske crte. PoništiPoništi -
Great kick-off to the new year:
@j_foerst presents his fundamental work on Multi-Agent Learning from DIAL & Differentiable Communication Protocols to Multi-Agent Search in Hanabi@TUBerlin!

pic.twitter.com/ihLfKvNTRd
Hvala. Twitter će to iskoristiti za poboljšanje vaše vremenske crte. PoništiPoništi -
What a week


! I loved meeting so many of you at #NeurIPS2019 - the ML community is truly wonderful. Checkout all my collected visual notes
& feel free to share: https://github.com/RobertTLange/conference-school-notes/tree/master/2019-12-NeuRIPS …pic.twitter.com/LMn3uE4kGe
Hvala. Twitter će to iskoristiti za poboljšanje vaše vremenske crte. PoništiPoništi -
Wow! This is amazing. Make sure to check out
@dabelcs extensive conference notes from#NeurIPS2019. Thank you for sharing!
https://twitter.com/dabelcs/status/1206237428626923520 …
Hvala. Twitter će to iskoristiti za poboljšanje vaše vremenske crte. PoništiPoništi -
‘Innate everything‘


- @hardmaru argues for the importance of finding the right inductive biases in bodies/architectures (WANNs) & prediction/world models (Observational Dropout) - Transferable Skills Workshop#NeurIPS2019pic.twitter.com/J71A5Tr0Fc
Hvala. Twitter će to iskoristiti za poboljšanje vaše vremenske crte. PoništiPoništi -
And... another one. Curious about how to combine Hierarchical RL and Grammar Induction to define a powerful Action Grammar? Checkout my work with
@AnalogAldo at the Deep RL & Transferable Skills Workshops.#NeurIPS2019 Preprint: https://arxiv.org/abs/1907.12477 pic.twitter.com/q2UHtc9Psd
Hvala. Twitter će to iskoristiti za poboljšanje vaše vremenske crte. PoništiPoništi -
Great presentation of the http://animalaiolympics.com by
@MaCroPhilosophy,@BenBeyret,@mpshanahan & the PPO-LSTM-based winning solution by@DenysM88. Very much looking forward to the next generation including human & animal expert traces!#neurips19pic.twitter.com/W4tR3lC6uQ
Hvala. Twitter će to iskoristiti za poboljšanje vaše vremenske crte. PoništiPoništi -
Many gems in
@OriolVinyalsML Deep RL workshop talk at#NeurIPS2019 on AlphaStar. Including scatter connections, imitation-based regularization, the league & the unique problem decomposition.pic.twitter.com/YZIKYKrTW5
Hvala. Twitter će to iskoristiti za poboljšanje vaše vremenske crte. PoništiPoništi -
Workshop talks should push conceptual limits. Fascinating talk by Rich Sutton at the Bio&Artificial RL workshop
#NeurIPS2019#SuperDyna P.S.: I will do my best

pic.twitter.com/qCYbikO6y1
Hvala. Twitter će to iskoristiti za poboljšanje vaše vremenske crte. PoništiPoništi -
Tackling optimization (WarpGrad by
@flennerhag) & memory (GrTrXL by E. Parisotto) in meta-learning - a summary of@RaiaHadsell’s meta-learning workshop talk at#neurips19.pic.twitter.com/5TP4FoW3q8
Hvala. Twitter će to iskoristiti za poboljšanje vaše vremenske crte. PoništiPoništi -
Towards useful abstractions in RL - great talk on state & action abstractions that trade-off compression and value preservation by
@dabelcs at the meta-learning workshop#neurips19.pic.twitter.com/xW5AxvAhKB
Hvala. Twitter će to iskoristiti za poboljšanje vaše vremenske crte. PoništiPoništi -
Part I of Bio&Artificial RL Workshop at
#NeurIPS2019 is in the books. Great set of talks covering different timescales of learning/structured priors through meta-learning (@janexwang), intrinsic motivation (J. Gottlieb) as well as planning through cognitive maps (@criticalneuro).pic.twitter.com/nh1tFNHYTf
Hvala. Twitter će to iskoristiti za poboljšanje vaše vremenske crte. PoništiPoništi -
Guess who is the new lucky owner of an awesome art piece by
@dribnet? It was great to get to know more about the ML-assisted generation process. Check out his projects & ‚ML for Creativity & Design’ workshop at#NeurIPS2019. https://twitter.com/dribnet/status/1204187803841490944 …pic.twitter.com/eMOWcO6Upt
Hvala. Twitter će to iskoristiti za poboljšanje vaše vremenske crte. PoništiPoništi -
Become part of
@EEMLcommunity 2020 in Poland - and next years#neurips19 meet-up! Checkout this blog post covering my experience & feel free to get in touch: https://roberttlange.github.io/posts/2019/06/blog-post-4/ … https://twitter.com/EEMLcommunity/status/1205186888216150017 …pic.twitter.com/J8eewwy9cV
Hvala. Twitter će to iskoristiti za poboljšanje vaše vremenske crte. PoništiPoništi -
Yoshua Bengio
#NeurIPS2019 - „It is Time for ML to explore Consciousness“

pic.twitter.com/H7piMwk32L
Hvala. Twitter će to iskoristiti za poboljšanje vaše vremenske crte. PoništiPoništi -
Truly eye-opening keynote by
@blaiseaguera at#NeurIPS2019 . Intelligence does not only evaluate functions. Towards a biologically-plausible formulation of social intelligence

pic.twitter.com/UZ9kvPd3cR
Hvala. Twitter će to iskoristiti za poboljšanje vaše vremenske crte. PoništiPoništi
Čini se da učitavanje traje već neko vrijeme.
Twitter je možda preopterećen ili ima kratkotrajnih poteškoća u radu. Pokušajte ponovno ili potražite dodatne informacije u odjeljku Status Twittera.
}