Skip to content
  • Home Home Home, current page.
  • Moments Moments Moments, current page.

Saved searches

  • Remove
  • In this conversation
    Verified accountProtected Tweets @
Suggested users
  • Verified accountProtected Tweets @
  • Verified accountProtected Tweets @
  • Language: English
    • Bahasa Indonesia
    • Bahasa Melayu
    • Català
    • Čeština
    • Dansk
    • Deutsch
    • English UK
    • Español
    • Filipino
    • Français
    • Hrvatski
    • Italiano
    • Magyar
    • Nederlands
    • Norsk
    • Polski
    • Português
    • Română
    • Slovenčina
    • Suomi
    • Svenska
    • Tiếng Việt
    • Türkçe
    • Ελληνικά
    • Български език
    • Русский
    • Српски
    • Українська мова
    • עִבְרִית
    • العربية
    • فارسی
    • मराठी
    • हिन्दी
    • বাংলা
    • ગુજરાતી
    • தமிழ்
    • ಕನ್ನಡ
    • ภาษาไทย
    • 한국어
    • 日本語
    • 简体中文
    • 繁體中文
  • Have an account? Log in
    Have an account?
    · Forgot password?

    New to Twitter?
    Sign up
RepBarragan's profile
Nanette D. Barragán
Nanette D. Barragán
Nanette D. Barragán
Verified account
@RepBarragan

Tweets

Nanette D. BarragánVerified account

@RepBarragan

Official account. Honored to represent California's 44th Congressional District. #CA44 Member of the @HispanicCaucus @USProgressives @Dodgers fan.

San Pedro, CA
barragan.house.gov
Joined January 2017

Tweets

  • © 2018 Twitter
  • About
  • Help Center
  • Terms
  • Privacy policy
  • Cookies
  • Ads info
Dismiss
Previous
Next

Go to a person's profile

Saved searches

  • Remove
  • In this conversation
    Verified accountProtected Tweets @
Suggested users
  • Verified accountProtected Tweets @
  • Verified accountProtected Tweets @

Promote this Tweet

Block

  • Tweet with a location

    You can add location information to your Tweets, such as your city or precise location, from the web and via third-party applications. You always have the option to delete your Tweet location history. Learn more

    Your lists

    Create a new list


    Under 100 characters, optional

    Privacy

    Copy link to Tweet

    Embed this Tweet

    Embed this Video

    Add this Tweet to your website by copying the code below. Learn more

    Add this video to your website by copying the code below. Learn more

    Hmm, there was a problem reaching the server.

    By embedding Twitter content in your website or app, you are agreeing to the Twitter Developer Agreement and Developer Policy.

    Preview

    Why you're seeing this ad

    Log in to Twitter

    · Forgot password?
    Don't have an account? Sign up »

    Sign up for Twitter

    Not on Twitter? Sign up, tune into the things you care about, and get updates as they happen.

    Sign up
    Have an account? Log in »

    Two-way (sending and receiving) short codes:

    Country Code For customers of
    United States 40404 (any)
    Canada 21212 (any)
    United Kingdom 86444 Vodafone, Orange, 3, O2
    Brazil 40404 Nextel, TIM
    Haiti 40404 Digicel, Voila
    Ireland 51210 Vodafone, O2
    India 53000 Bharti Airtel, Videocon, Reliance
    Indonesia 89887 AXIS, 3, Telkomsel, Indosat, XL Axiata
    Italy 4880804 Wind
    3424486444 Vodafone
    » See SMS short codes for other countries

    Confirmation

     

    Welcome home!

    This timeline is where you’ll spend most of your time, getting instant updates about what matters to you.

    Tweets not working for you?

    Hover over the profile pic and click the Following button to unfollow any account.

    Say a lot with a little

    When you see a Tweet you love, tap the heart — it lets the person who wrote it know you shared the love.

    Spread the word

    The fastest way to share someone else’s Tweet with your followers is with a Retweet. Tap the icon to send it instantly.

    Join the conversation

    Add your thoughts about any Tweet with a Reply. Find a topic you’re passionate about, and jump right in.

    Learn the latest

    Get instant insight into what people are talking about now.

    Get more of what you love

    Follow more accounts to get instant updates about topics you care about.

    Find what's happening

    See the latest conversations about any topic instantly.

    Never miss a Moment

    Catch up instantly on the best stories happening as they unfold.

    Nanette D. Barragán‏Verified account @RepBarragan Oct 12

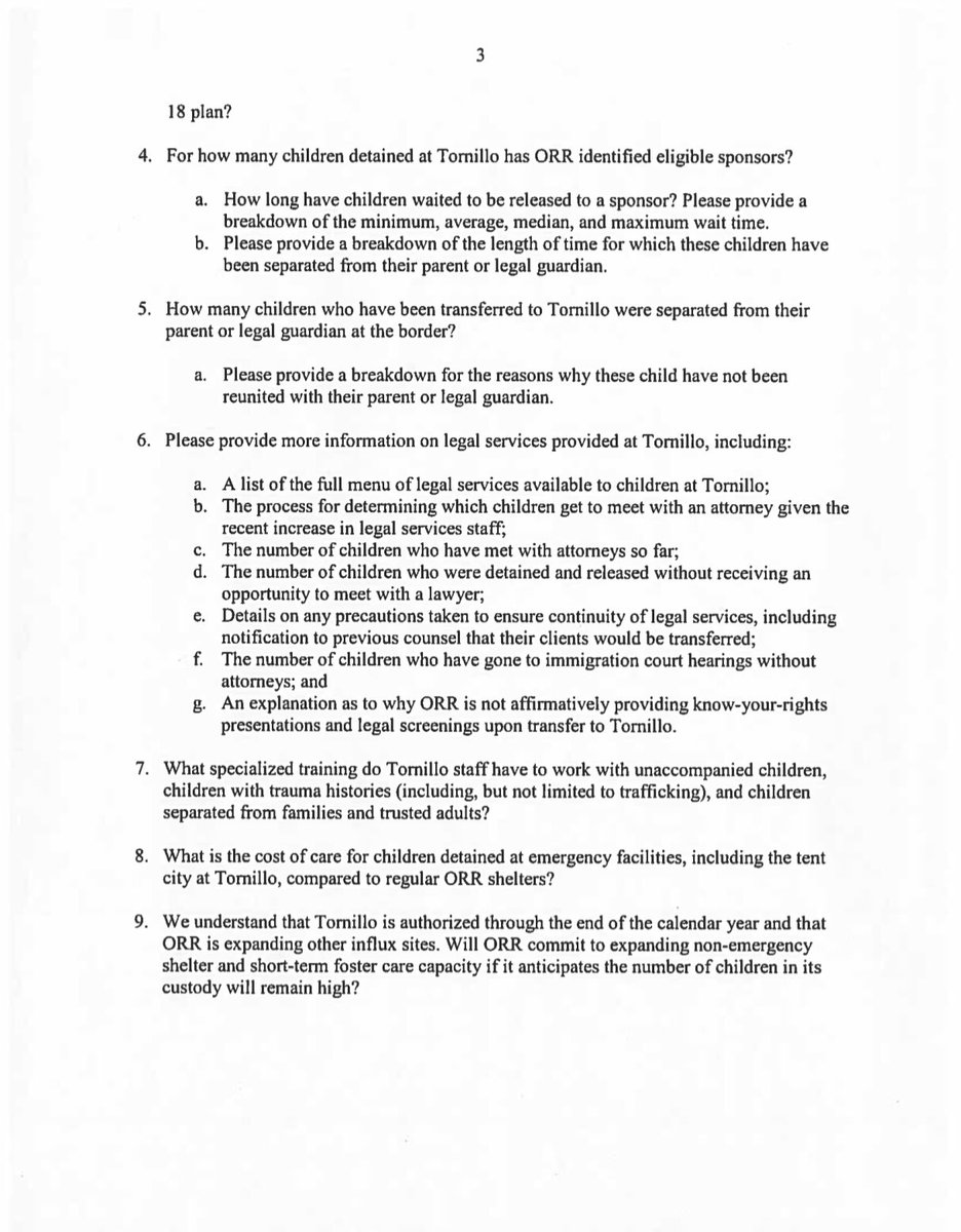
    Proud to join over 70 of my colleagues on this letter condemning the Trump Admin for moving over 1,600 migrant children, in the dead of night, to a tent city in South Texas where they no longer receive formal education or access to legal services. Children deserve better.pic.twitter.com/B8bymo9VOH

    9:15 AM - 12 Oct 2018
    • 95 Retweets
    • 215 Likes
    • Count Every Vote Jade Dressler lemonshell amy piedalue Juan Carlos Gonzalez Kristen Gerard Stasia 🍋🏳️‍🌈♍️ Supernova Daisy*NO MORE RAPIST JUDGES* Blackstone
    Rep. Lucille Roybal-Allard, Rep. Pramila Jayapal, Rep. Zoe Lofgren and 7 others
    1. Rep. Lucille Roybal-Allard @RepRoybalAllard

    2. Rep. Pramila Jayapal @RepJayapal

    3. Rep. Zoe Lofgren @RepZoeLofgren

    4. Congressmember Bass @RepKarenBass

    5. Suzanne Bonamici @RepBonamici

    6. Anthony G. Brown @RepAnthonyBrown

    7. Rep. Salud Carbajal @RepCarbajal

    8. Judy Chu @RepJudyChu

    9. Cicilline Press Office @RepCicilline

    10. Yvette D. Clarke @RepYvetteClarke

    8 replies 95 retweets 215 likes
      1. Uncle Jed  ❌ ⭐️ ⭐️ ⭐️ ❌‏ @ruguy88 Oct 12
        Replying to @RepBarragan @RepJayapal and

        Build the wall & secure our borderspic.twitter.com/b00meOMPn5

        0 replies 1 retweet 1 like
        Thanks. Twitter will use this to make your timeline better. Undo
        Undo
      1. Ima Platypus  ©️‏ @ultralite001 Oct 12
        Replying to @RepBarragan @RepRoybalAllard and

        DJT should be cited for child abuse...

        0 replies 0 retweets 3 likes
        Thanks. Twitter will use this to make your timeline better. Undo
        Undo
      1. Chad  🇺🇸‏ @Chad35164977 Oct 14
        Replying to @RepBarragan @RepJayapal and

        No the American taxpayers deserve better

        0 replies 0 retweets 1 like
        Thanks. Twitter will use this to make your timeline better. Undo
        Undo
      1. Derp Pol‏ @DerpPol Oct 12
        Replying to @RepBarragan @RepJayapal and

        That's not happening.

        0 replies 0 retweets 0 likes
        Thanks. Twitter will use this to make your timeline better. Undo
        Undo
      1. Our Children Deserve Better‏ @kidsneedheroes2 Oct 12
        Replying to @RepBarragan @RepJayapal and

        Thank you! Why didn’t businesses/ MSM back away from DT and prison firms that have 1000s of liitle children imprisoned in America? If they can back away from Saudi Arabia for possibly killing a man why can’t they back away from ppl that have destroyed 1000s of children’s lives?

        0 replies 0 retweets 0 likes
        Thanks. Twitter will use this to make your timeline better. Undo
        Undo
      1. Crow‏ @sistercrow Oct 12
        Replying to @RepBarragan @RepRoybalAllard and

        Also these child tent cities are embezzling 775 dollars a night per child from the US taxpayers.https://www.cnbc.com/2018/06/20/migrant-kids-tent-cities-cost-more-than-detaining-families-report.html …

        0 replies 0 retweets 0 likes
        Thanks. Twitter will use this to make your timeline better. Undo
        Undo

    Loading seems to be taking a while.

    Twitter may be over capacity or experiencing a momentary hiccup. Try again or visit Twitter Status for more information.

      Promoted Tweet

      false

      • © 2018 Twitter
      • About
      • Help Center
      • Terms
      • Privacy policy
      • Cookies
      • Ads info