Tweetovi
- Tweetovi, trenutna stranica.
- Tweetovi i odgovori
- Medijski sadržaj
Blokirali ste korisnika/cu @PSRMJournal
Jeste li sigurni da želite vidjeti te tweetove? Time nećete deblokirati korisnika/cu @PSRMJournal
-
Prikvačeni tweet
Check out our latest issue, Volume 8 | Issue 1: https://www.cambridge.org/core/journals/political-science-research-and-methods/issue/3F91AE029ABCB514F9803B8A252D64E6 … All articles are
#FreeAccess until the end of February 2020.Hvala. Twitter će to iskoristiti za poboljšanje vaše vremenske crte. PoništiPoništi -
Volume 8 | Issue 1 - Using statistical theory and Monte Carlo simulations,
@DanBaissa &@carlislerainey highlight the importance of using more robust estimators along with variable transformations. Enjoy#FreeAccess until the end of February 2020: https://doi.org/10.1017/psrm.2018.34 …pic.twitter.com/8UVJFlSWy7
Hvala. Twitter će to iskoristiti za poboljšanje vaše vremenske crte. PoništiPoništi -
PSRM Journal proslijedio/la je Tweet
Just issued on
@PSRMJournal an article by@UiB prof. Raimondas Ibenskas analysing the effect of#party splits on electoral competition in Western and Eastern Europe.
#partysystem#elections#europe#data#polisci#polisciresearchhttps://twitter.com/PSRMJournal/status/1222594458795040773 …
Hvala. Twitter će to iskoristiti za poboljšanje vaše vremenske crte. PoništiPoništi -
Volume 8 | Issue 1 – How to study networks in political science? J.Larson &
@janetilewis offer a practical guide for designing a study to elicit networks and illuminates the tradeoffs that researchers face. Enjoy#FreeAccess until the end of Feb 2020: https://doi.org/10.1017/psrm.2019.5 …pic.twitter.com/D4b5ism06n
Hvala. Twitter će to iskoristiti za poboljšanje vaše vremenske crte. PoništiPoništi -
Volume 8 | Issue 1 - To FE or not to FE? Cook, Hays & Franzese suggest a penalized maximum likelihood fixed effects (PML-FE) estimator and illustrate their method with a model of civil war onset. Enjoy
#FreeAccess until the end of February 2020: https://doi.org/10.1017/psrm.2018.40 …pic.twitter.com/ScpKqmOQux
Hvala. Twitter će to iskoristiti za poboljšanje vaše vremenske crte. PoništiPoništi -
Volume 8 | Issue 1 - Using the case of Japan,
@YusakuHoriuchi@ProfDanSmith & T. Yamamoto investigate which attributes are most relevant in shaping voters’ preferences for politicians. Enjoy#FreeAccess until the end of February 2020: https://doi.org/10.1017/psrm.2018.26 …pic.twitter.com/RGlY2cHW51
Hvala. Twitter će to iskoristiti za poboljšanje vaše vremenske crte. PoništiPoništi -
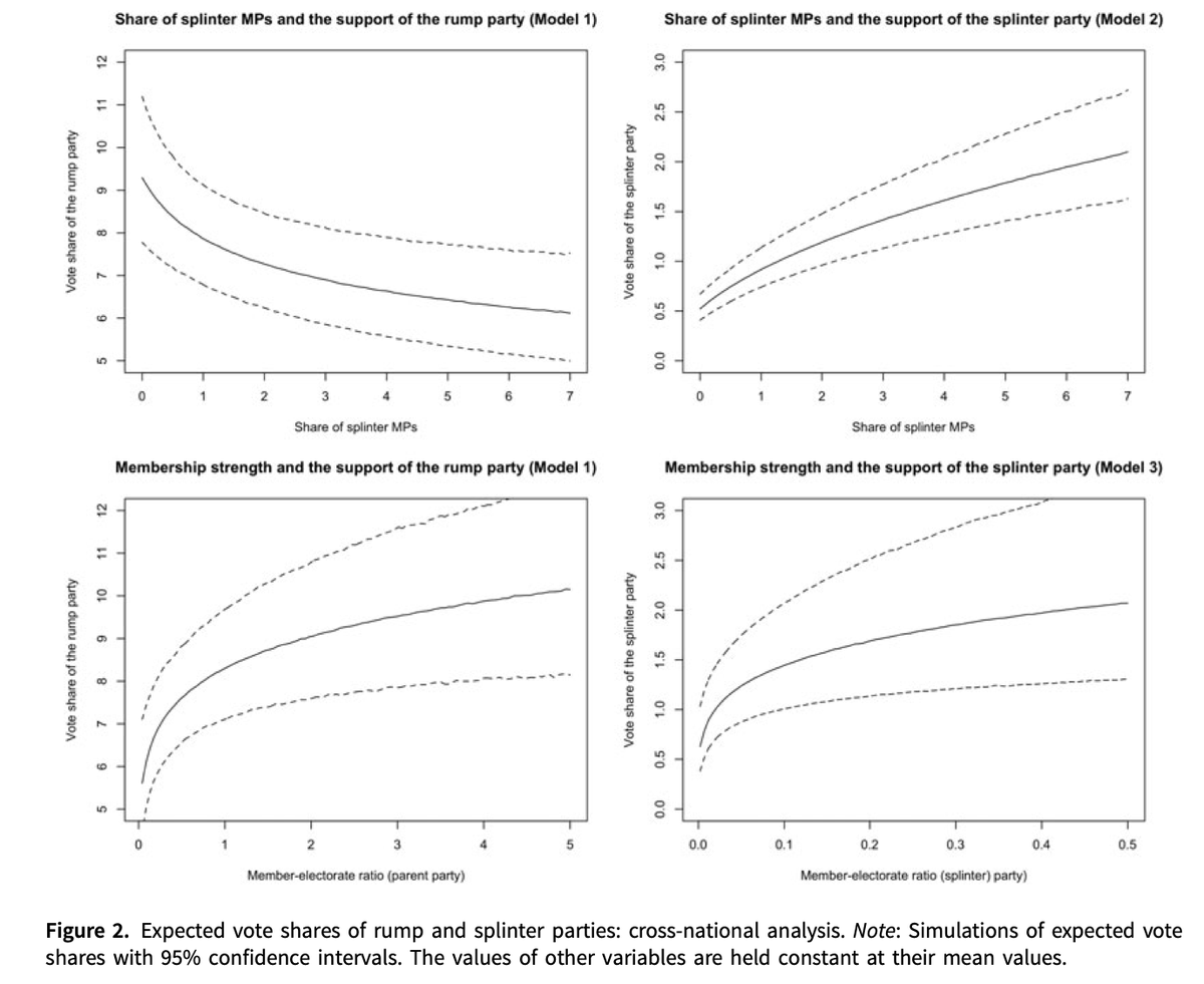
Volume 8 | Issue 1 - Using a new dataset covering more than 200 party splits across 25 European countries, Raimondas Ibenskas examines the variation in parties’ electoral support after fission. Enjoy
#FreeAccess until the end of February 2020: https://doi.org/10.1017/psrm.2019.15 …pic.twitter.com/XsIhiEq7Q8
Hvala. Twitter će to iskoristiti za poboljšanje vaše vremenske crte. PoništiPoništi -
Volume 8 | Issue 1 – When do governments lock in their own policy preferences? T. Betz emphasizes a trade-off between policy preferences and the benefits of keeping an issue on the table to exploit partisan differences.
#FreeAccess until end of Feb 2020 https://doi.org/10.1017/psrm.2018.27 …pic.twitter.com/hcWKgL60g3
Hvala. Twitter će to iskoristiti za poboljšanje vaše vremenske crte. PoništiPoništi -
Volume 8 | Issue 1 -
@ykrupnikov & C.Shipan argue that institutional conditions can affect legislative turnover. Using US state-level data, they highlight the role of separation of power arrangements. Enjoy#FreeAccess until the end of February 2020: https://doi.org/10.1017/psrm.2018.32 …pic.twitter.com/eeEPYNu0SL
Hvala. Twitter će to iskoristiti za poboljšanje vaše vremenske crte. PoništiPoništi -
Volume 8 | Issue 1 -
@ljk50, Stevenson & Elwert show how#DAGs provide a framework for delineating which effects are presumed to be identified and thus merit a causal interpretation, and which are not. Enjoy#FreeAccess until the end of February 2020: https://doi.org/10.1017/psrm.2019.31 …pic.twitter.com/OTv6cJZwzH
Hvala. Twitter će to iskoristiti za poboljšanje vaše vremenske crte. PoništiPoništi -
PSRM Journal proslijedio/la je Tweet
Chock full of goodness. With no added sugar or trans fats!https://twitter.com/PSRMJournal/status/1220510912278409217 …
Hvala. Twitter će to iskoristiti za poboljšanje vaše vremenske crte. PoništiPoništi -
PSRM Journal proslijedio/la je Tweet
Do you want to live longer? Run for office (and win)! Great paper by
@RoKlemmensen@SBarfort and@erikgahner in@PSRMJournalhttps://twitter.com/PSRMJournal/status/1220067231813513217 …
Hvala. Twitter će to iskoristiti za poboljšanje vaše vremenske crte. PoništiPoništi -
#FirstView Does winning elections make a politician live longer?@SBarfort@RoKlemmensen &@erikgahner show that politicians who win a close election live 5-10 years longer than candidates who lose. Check their approach: https://doi.org/10.1017/psrm.2019.63 …pic.twitter.com/LiLpF9nfqy
Hvala. Twitter će to iskoristiti za poboljšanje vaše vremenske crte. PoništiPoništi -
PSRM Journal proslijedio/la je Tweet
I'm very proud of this paper with
@ma_giani in@PSRMJournal because we made a very geeky reference to Tinder in the title, which ironically would annihilate our chances to get a match on Tinder if it was on our profile. And that ladies and gentlemen is our great performancehttps://twitter.com/ESS_Survey/status/1219955396170911744 …
Prikaži ovu nitHvala. Twitter će to iskoristiti za poboljšanje vaše vremenske crte. PoništiPoništi -
#Firstview Using data on Chinese leaders and medias reports in local newspapers from 2000 to 2014, Ting Chen & Ji Yeon Hong show that Chinese political elites under promotion pressure compete within factions to outrival their peers. Read their analysis: https://doi.org/10.1017/psrm.2019.61 …pic.twitter.com/bAcogeKwX7
Hvala. Twitter će to iskoristiti za poboljšanje vaše vremenske crte. PoništiPoništi -
PSRM Journal proslijedio/la je Tweet
Check out my latest project in the
@PSRMJournal. In this paper, we show new evidence on endogenous democratization. Our identification strategy uses the cross-country variation of the cultivability of the potato in the Old Worldhttps://twitter.com/PSRMJournal/status/1219387651134017541 …
Hvala. Twitter će to iskoristiti za poboljšanje vaše vremenske crte. PoništiPoništi -
#FirstView Does economic development cause democracy?@joan_barcelo_ and Guillermo Rosas exploit exogeneity in the potato productivity shock to identify a causal effect of urbanization on democratization. Check out their approach here: https://doi.org/10.1017/psrm.2019.62 …pic.twitter.com/TdaG7Wmg4q
Hvala. Twitter će to iskoristiti za poboljšanje vaše vremenske crte. PoništiPoništi -
PSRM Journal proslijedio/la je Tweet
We at
@PSRMJournal are back from our holiday break; our site has been reopened for submissions. Let’s have a great 2020.#BringItOnpic.twitter.com/VZhPdvUVIqHvala. Twitter će to iskoristiti za poboljšanje vaše vremenske crte. PoništiPoništi -
Are you confused about the concept of dualization?
@mariusbusemeyer and@AchKem clarify it by presenting the conceptual foundations of the debate on dualization. All papers from the symposium are#OpenAccess until the end of May 2020: https://doi.org/10.1017/psrm.2019.47 …pic.twitter.com/eoDUPpnVdt
Hvala. Twitter će to iskoristiti za poboljšanje vaše vremenske crte. PoništiPoništi -
PSRM Journal proslijedio/la je Tweet
You can now enjoy free access to the latest issue of
@PSRMJournal until the end of 2019 - http://ow.ly/pFb850xkHFo pic.twitter.com/QbBASnTW5l
Hvala. Twitter će to iskoristiti za poboljšanje vaše vremenske crte. PoništiPoništi
Čini se da učitavanje traje već neko vrijeme.
Twitter je možda preopterećen ili ima kratkotrajnih poteškoća u radu. Pokušajte ponovno ili potražite dodatne informacije u odjeljku Status Twittera.
) - found that compulsory voting may lead to different election results.